时间:2023-08-09 11:19
人气:
作者:admin
在数字信号分析的过程中,由于计算机不可能对无限长连续的信号进行分析处理,只能将其变成有限长度的离散的数据点,那么,无限长连续的信号的傅里叶变换和经过采样后截断的离散信号的傅里叶变换之间是什么关系?它能否反映原信号的频谱关系?这是我们所关心的主要问题。
另外,在数字分析过程中有一些问题也是需要特别注意的,如果处理的不好会引起误差或错误,甚至得到完全错误的结果。
诸如波形离散采样所产生的混叠问题、波形截断所产生的泄漏问题和信号中的信噪比问题等。这些都是在数字频率分析中所要关心的主要问题。
一、混淆与采样定理
要把连续模拟量转换为离散数字量,需要对连续模拟量的时间历程 x ( t )进行采样。采样就是将连续模拟信号转换成离散数字信号。并且保证离散后的信号能唯一确定原连续信号,即要求离散信号能恢复成原连续信号。采样一般都是以等间隔Δt取值,得到离散信号 x ( kΔt ), k =0,1,2,···,如图1所示。

图1 连续信号的离散化
由于离散信号 x ( kΔt )只是 x ( t )的一部分值,即 x ( kΔt )与 x ( t )是局部与整体的关系。这个局部能否反映整体,能否由离散信号 x ( kΔt )复原到连续信号 x ( t ),这与 x ( t )波形的幅值变化剧烈程度和采样间隔Δt的大小有关,而 x ( t )波形幅值变化的剧烈程度又取决于 x ( t )的频率分量。
对周期连续函数

如果采样间隔

则振动信号的离散结果应为

式中,m为整数。
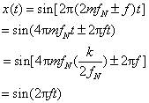
当正弦信号频率分别为(2 mfN ± f )与f时,相应的正弦值是相同的,所以会误把高频分量当作低频分量。如图2所示,对图中高频信号sin[2 π (2 mfN ± f ) t ]按采样间隔 Δt =1/2fN采样后得到的离散信号就会误认为是低频信号sin(2 πft ),这就是混淆。
图2表明,若减小采样间隔 Δt ,即增加采样量,混淆情况将有所改变。如果原函数中的最高谐波频率为 fm ,则应减小采样间隔 Δt ,使

即可保证不产生上述混淆问题。1/Δt称为采样频率 fs ,于是,为保证不产生混淆现象,应满足

上式称为Shannon采样定理。

图2 高、低频混淆现象
对非周期连续信号进行离散傅氏分析时,香农 (Shannon)定理表明,若信号中的最高频率为fmax,则为了不产生频率混淆,须保证采样频率fs大于2倍的fmax。
除满足Shannon定理外,采样时间 T ,采样间隔 Δt ,采样量N及采样频率fs和频率分辨率Δf之间存在以下关系:

由上式可见,由于N是一定的,若为避免频率混淆而提高采样频率 fs (即减小采样间隔 Δt ),将使采样时间T减小,从而造成频率分辨率Δf变粗。解决这一问题的办法是先使信号通过一个低通滤波器,使滤波后的信号中的最高频率成为fmax,然后根据采样定理来确定采样频率fmax。通常fs是fmax的3~4倍。
如某频率分析仪的采样量为 N =1024,取 fs =4fmax,那么仪器的显示谱线仅为256 (1024/4) 线。
二、泄漏与窗函数
对有限时间长度T的离散时域序列进行离散傅里叶变换 (DFT) 运算,首先要对时域信号进行截断。这相当于用一个高为1、长为T的矩形时域窗函数乘以原时域函数。因而引起信息损失,即窗外的信息会全部损失掉,致使导致频谱分析出现误差,其结果是使得本来集中于某一频率的功率(或能量),部分被分散到该频率邻近的频域,时域信号的这种损失,将导致频域信号内会附加一些频率分量,给傅立叶变换带来误差,这种现象称为“泄漏”现象。
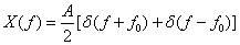
以图3(a)所示的连续时域信号 x ( t )=Acos2πf0t为例,其频谱 X ( f )为图3(b)所示的两条谱线,集中在-f0和+f0处,即

因此, X ( f )为延时δ函数,其特性符合 b ( t )函数特性。
经简单截取后的样本
(图3(e))相当于原信号与矩形窗函数 b ( t )(图3(c))的乘积,即

其中矩形窗函数 b ( t )的表达式为

其频谱 B ( f )如图3(d)所示。
按照傅氏变换的卷积定理,则有

即将频谱图中 B ( f )曲线在频率轴上向左右各移动f0就成为 B ( f )* X ( f )的频谱图,如图3( f )所示。经过卷积后的
不再是两条谱线而是两段连续谱。它表明,原来的信号被截断后,其频谱产生了畸变,原来集中在f0处的能量被分散到两个较宽广的频带中去了,这种现象称为泄露。
如图3(d)所示, B ( f )-f曲线在频率范围[-1/ T ,1/ T ]之内的图形叫做主瓣,在频率范围[ n / T , n +1/ T ],( n =1,±2,±3,···)内的图形都叫旁瓣。显然,泄露上由于窗函数的频谱是一个连续谱,它包括一个主瓣和无数的旁瓣,原来集中在主瓣的能量被泄露到旁瓣去了。

图3 余弦连续信号倍矩形窗截断形成的泄露
为了抑制“泄漏”,需采用特种窗函数来替代矩形窗函数。这一过程称为窗处理,或者叫加窗。加窗的目的是使在时域上截断信号两端的波形突变变为平滑,在频域上尽量压低旁瓣的高度。
在一般情况下,压低旁瓣通常伴随着主瓣的变宽,但是旁瓣的泄漏是主要考虑因素,然后才考虑主瓣变宽的泄漏问题。
在数字信号处理中常用的窗函数有:




图4给出了上述四种窗函数的时域图象,为了保持加窗后的信号能量不变,要求窗函数曲线与时间坐标轴所包围的面积相等。对于矩型窗,该面积为 T ×1,因此,对于任意窗函数 w ( t ),必需满足积分关系式

图5分别给出了上述四种窗函数的频谱。

图4 常用窗函数的时域图

图5 常用窗函数的频谱图
在数字信号频率分析中,要求对不同类型的时域信号选用不同的窗函数。例如:
常用的其它窗函数还有Hamming窗,Gauss(3 σ )窗,三角形窗以及指数窗等。
选择窗函数时应注意:
三、噪声与平均技术
在数字信号的采集和处理过程中,都有不同程度的被噪声污染的问题,如电噪声、机械噪声等。这种噪声可能来自试验结构本身,也可能来自测试仪器的电源及周围环境的影响等等。
通常采用平均技术来减小噪声的影响,一般的信号分析仪都具有多种平均处理功能,它们各自有不同的用途,我们可以根据研究的目的和被分析信号的特点,选择适当的平均类型和平均次数。
这是一种最基本的平均类型。采用这一平均类型时,对每个给定长度的记录逐一作傅氏变换和其它处理,然后对每一频率点的谱值分别进行等权线性平均。
对于平稳随机过程的测量分析,增加平均次数可减小相对标准偏差。
对于平稳的确定性过程,例如周期过程和准周期过程,其理论上的相对标准差应该总是零,平均的次数没有意义。不过实际的确定性信号总是或多或少的混杂有随机的干扰噪声,采用线性谱平均技术能减少干扰噪声谱分量的偏差,但并不降低该谱分量的均值,因此实质上并不增强确定性过程谱分析的信噪比。
增强确定性过程谱分析信噪比的有效途径是,采用时间记录的线性平均或称时域平均。时域平均首先设定平均次数 nd ,对于nd个时间记录的数据,按相同的序号样点进行线性平均,然后对平均后的时间序列再做傅氏变换和其它处理。
为了避免起始时刻的相位随机性使确定性过程的平均趋于零,时域平均应有一个同步触发信号。
时间记录平均可以在时域上抑制随机噪声,提高确定性过程谱分析的信噪比。由于数字信号分析中,占有机时较多的是FFT运算,采用时域平均只需最后做一次FFT,与多次FFT的谱平均相比,可以节省机时,提高分析速度。然而,随机过程的测量,一般不能采用时域平均。
上述谱平均和时间记录平均都是线性平均,其参与平均的所有nd个频域子集或时域子集赋予相等的权,即1/ nd 。
指数平均与线性平均不同,它对新的子集赋予较大的加权,越是旧的子集赋予越小的加权。例如HP3582A谱分析仪的指数平均,就是对最新的子集赋予 1/4 加权,而对以此前经过指数平均的谱再赋予3/4的加权,二者相加后作为新的显示或输出的谱。也就是说,在显示或输出的谱中,最新的一个谱子集(序号 m )的权是1/4,从它往回数序号为m-n的子集的权是1/4(3/4)ⁿ,如图6所示。

图6 指数平均中各个子集的权
指数平均常用于非平稳过程的分析。因为采用这种平均方式,即可考察“最新”测量信号的基本特征,又可通过与“旧有”测量值的平均(频域或时域)来减小测量的偏差或提高信噪比。
有关的平均技术还有许多种,如峰值保持平均技术,无重叠平均技术,重叠平均技术等,它们各有其特点和用途,如何选择平均技术是振动测量中的一个重要手段,在实际测量中要依据所选用的数字信号分析仪功能,选用相适应的平均技术,以提高振动测量的结果。
NVIDIA RTX PRO 4500 Blackwell GPU测试分析