时间:2023-08-09 15:06
人气:
作者:admin
七、傅里叶变换的基本性质


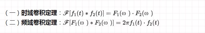
八、卷积特性(卷积定理)

九、周期信号的傅里叶变换
虽然周期信号不满足绝对可积条件,但认为冲激函数有意义下绝对可积称为不必要的限制
频移特性 ——余弦信号(周期)的傅里叶变换——导出其余信号的频谱函数
(一)正弦、余弦信号的傅里叶变换


十、抽样信号的傅里叶变换
(一)时域抽样

(二) 频域抽样 :频域抽样,时域周期延拓
时域频域相对关系 : 离散——周期,连续——非周期 (反过来也一样)
十一、抽样定理

十二、总结
信号可以通过无限项正弦信号叠加而形成,也就是傅里叶级数的三角函数,但现实中叠加不能是无限的,相当于频率加窗保留低频项,扔掉高频部分,因此产生了 吉布斯现象 。吉布斯现象的上冲是和窗函数(的时域波形,其旁瓣)有关的,从窗函数时频域关系来解释吉布斯现象。
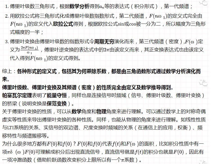
傅里叶级数有三角函数形式、指数形式。傅里叶变换同样三角函数形式、指数形式。两者频谱表示的内容不同,一为 幅度谱 ,一为 频谱密度 ,但频谱与频谱密度之间有关系(差一个T)。
变换间频谱的关系:


上一篇:傅里叶变换(对信号分析)(上)
下一篇:GPU 和显卡是什么关系?
NVIDIA RTX PRO 4500 Blackwell GPU测试分析