时间:2023-08-09 15:00
人气:
作者:admin
一、引言
时域研究——频域研究
傅里叶级数——采用 三角函数系 ( 互为正交函数 )进行正交展开
二、周期信号的傅里叶级数分析




三、典型周期信号的傅里叶级数
(一)周期矩形脉冲信号



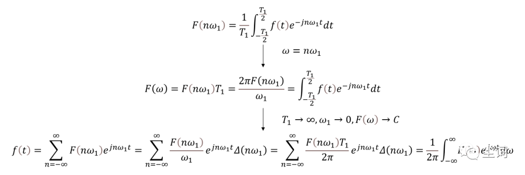
四、傅里叶变换
由傅里叶级数引出傅里叶变换:T→∞时,谱线间隔趋于0,值趋于无限小,由能量守恒得无限多无限小能量之和仍为信号的能量,此时频谱失去意义,故引入频谱密度函数

傅里叶变换:
傅里叶逆变换:
三角函数形式傅里叶变换:
(由幅度谱和相位谱奇偶性得到)
幅度双边谱左右对称——幅度频谱偶函数
相位谱关于原点对称——相位频谱奇函数

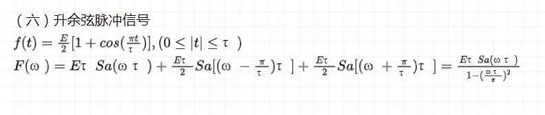
五、典型非周期信号的傅里叶变换
(一)单边指数信号



六、冲激函数和阶跃函数的傅里叶变换
(一)冲激函数的傅里叶变换

上一篇:连续时间系统的时域分析
下一篇:傅里叶变换(对信号分析)(下)
NVIDIA RTX PRO 4500 Blackwell GPU测试分析