时间:2023-08-09 17:38
人气:
作者:admin
什么是CMOS平板探测器呢?
呐呐呐,了解CMOS平板探测器之前呢,小V先带大家来认识认识CMOS和平板探测器。
CMOS
CMOS全称是Complementary Metal Oxide Semiconductor(互补金属氧化物半导体),它是指制造大规模集成电路芯片用的一种技术或用这种技术制造出来的芯片。
平板探测器
平板探测器是一种精密和贵重的设备,对成像质量起着决定性的作用,熟悉探测器的性能指标有助于提高成像质量和减少X线辐射剂量。
所谓CMOS平板探测器就是运用了CMOS技术的平板探测,即主要的核心部分使用了晶圆制造工艺。
什么是CMOS平板探测器就讲完啦~但是对于求知若渴的同学们来说,这点知识肯定是不够滴,所以下面我们再一起了解一下CMOS平板探测器相较于普通非晶硅平板探测器有什么优势吧。
CMOS与非晶硅(a-Si)技术的异同点
其实CMOS和非晶硅(amorphous silicon: a-Si)的概念并不是同样一个维度的对比,而是业界沿袭下来的叫法。
更加精准的对比称呼应该是单晶硅(CMOS)和非晶硅(a-Si)平板探测器。
无论是单晶硅(CMOS)还是非晶硅(amorphous silicon: a-Si)平板探测器,都是遵循类似的X射线探测原理。
其工作时的信号转换过程都遵循如下过程:X射线→可见光→电荷信号→数字信号→图像信号。
其中X射线到可见光的转换利用了闪烁体在X射线照射下的发光性质;可见光到电荷信号的转换使用了光电二极管;数字信号到图像信号的转换一般使用FPGA芯片进行。
01
射线源
发射X射线
02
闪烁体
转换为光信号
03
光电二极管
转换为电信号
04
A/D转换
转换为数字信号
05
FPGA芯片
转换为图像信号
上述几个过程中,a-Si与CMOS探测器的技术原理是相同的。
同时,上述的1、2部分也是相同的,都使用了类似的闪烁体,例如碘化铯(CsI)或者硫氧化钆(GOS)。
其中第5部分使用电路进行图像信号的输出部分也是相同的。
关键差异来自模拟的电荷信号到数字信号的转换,这其中包括模拟电荷的传输、读取、转换等过程。
CMOS探测器利用的是模拟集成电路芯片来实现模拟前端电路(AFE)和模拟数字转换(ADC),并且和像素阵列集成到同一个芯片上。
而a-Si探测器是以非晶硅为原材料,使用薄膜晶体管(TFT)工艺形成探测器像素阵列,而模拟前端电路(AFE)和模拟数字转换(ADC)则用一个单独的ASIC芯片。
二者最大的区别是:两种材料内部硅原子的排列情况不同,电子迁移率不同——单晶硅比非晶硅要快3个数量级(1000倍)。由于电子迁移率的差异,使得材料的电阻率也不同,这在电路中表现出时间响应、噪声响应等方面的差异,因此带来了诸多好处。

图2非晶硅(a-Si)结构与单晶硅( CMOS )结构的比较
科普解释:
在进入下面的学习之前,让我们一起先来了解几个名词吧!
电子迁移率:固体物理学中用于描述金属或半导体内部电子,在电场作用下移动快慢程度的物理量,主要受半导体材料影响。
帧速率:是指每秒钟可以输出多少帧图像。
剂量:本文所说的剂量指的是吸收剂量。是单位质量受照物质所吸收的平均电离辐射能量,单位是J/kg。在X射线成像的应用中,光源的能谱确定的情况下,辐射的剂量就与X射线光子的数量成比例了,可以用来表示探测器接收到的信号量子数大小。
分辨率:又称为像素矩阵,例如1536*1536,意思是一块平板探测器有1536行,1536列,有1536*1536=2359296个标准大小的像素。
CMOS探测器的低剂量优势
探测器的噪声来源大体上可以分为两类:
(1)X射线本身、X光子与物质相互作用的量子属性导致的散粒噪声。这类噪声服从泊松分布,信号强度与方差相同。即,随着信号强度的加大,噪声也会增加。
(2)读出信号的电路引入的噪声。其大体上遵循高斯分布,且不会随着X射线信号的增强而增加,属于探测器自身属性。
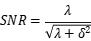
因此探测器输出的单帧图像信噪比可以表示为:

其中λ表示信号泊松分布的均值,δ²表示读出噪声的方差。
可以看出,随着X射线曝光剂量的提高(信号量变多),λ≫δ²,SNR将主要由量子噪声决定,其大小趋近于√λ。所以此时信噪比主要取决于曝光剂量、闪烁体发光量、像素大小等因素。由于曝光剂量是一个体积微分量,需要对每个像素的灵敏区体积(包括了闪烁体厚度和像素面积大小)进行积分才可以得到真正的信号量。
但当探测器接收到的照射剂量很低时,读出噪声逐渐占据主导。CMOS探测器噪声优于非晶硅探测器的原因有两点,第一是本身电子传输过程中的噪声较小,第二是CMOS探测器可以在像素内做放大器,因此是将像素内的信号放大后再传输,而a-Si是将像素内信号传输到外部后再放大,传输噪声与信号一起被放大了。两种因素叠加导致CMOS的读出噪声一般仅有a-Si的1/10,导致极低剂量时CMOS具有明显的信噪比优势。

图1非晶硅与CMOS探测器像素放大的差异
CMOS探测器的高速优势
为什么CMOS平板探测器比非晶硅平板探测器更适合高速动态成像。
首先,CMOS平板探测器的半导体材料使用的晶圆级单晶硅为原材料,由于单晶硅内晶格缺陷较少,其电子迁移率可以达到1400 cm2/(V·s);而a-Si材料中电子迁移率仅有大约1 cm2/(V·s)。这三个数量级的差距使得CMOS探测器可以有更快的信号读出,即实现更高的帧速率。
目前我司设计的平板探测器可以实现全尺寸将近100FPS@1x1的输出,欢迎各位客户来体验高速的快乐。
CMOS传感器像素尺寸优势
第三节中提到的单晶硅(CMOS)相对于非晶硅(a-Si)的优势根源是晶体硅的低缺陷率。低晶体缺陷率除了直接地带来了高电子迁移率外,还间接地影响了探测器其他方面的设计。比如,可以利用半导体产业成熟制的程工艺在硅片上刻蚀更细的线路,而更细的线路可以组成更小尺寸的晶体管。这就意味着,CMOS可以实现与a-Si相同像素尺寸时更高的像素区域填充率,或在相同填充率下制作出更小尺寸的像素。前者可以使得像素的有效面积更大,提高了探测效率;后者可以实现更高的空间分辨能力。目前市面上的CMOS探测器已经可以实现50微米甚至更小的像素尺寸,这可以在维持图像分辨率的同时,为客户提供更紧凑的整机结构等多项优势。
CMOS传感器低残影优势
CMOS探测器的单晶硅电子迁移率优势也会体现在残影问题上。由于CMOS的电子迁移率高,相同帧速率下,下一帧图像中包含的之前帧的残留就更低。这对于拍摄动态图像或需要快速完成扫描的应用至关重要。如锥形束CT(CBCT)的应用场景,残影的增加,就需要后期的残影修正算法来降低伪影。而这些补救手段会有其负面作用,例如滞后校正算法带来的重建时间延长和空间分辨的下降等。CMOS探测器由于残影比非晶硅低近一个数量级,因此几乎不存在这些问题。
辐照寿命
集成电路固有的对辐照耐受度低的问题依然导致了对CMOS探测器的种种顾虑。不过需要指出的是,CMOS探测器发挥优势的医疗领域,所用到的剂量一般不大,CMOS传感器的辐照寿命不是探测器寿命的瓶颈。而工业应用中的高剂量场景下,也可以通过增加FOP屏蔽层来大幅度减少芯片受到的辐射。
综上所述,CMOS探测器相比于非晶硅探测器具有小像素、高帧速率、低读出噪声等优势,其各项性能优劣对比可见下表。实际应用中,用户可以根据具体应用领域对不同性能指标需求的取舍,来选择合适的探测器技术。
| 探测器种类 | a-Si | IGZO | CMOS |
| 闪烁体 | CsI/GOS | ||
|
Sensor 类型 |
a-Si PD | COMS PD | |
| 像素开关 | a-Si开关管 | IGZO开关管 | CMOS晶体管 |
| 感光灵敏度 | 低 | 中 | 高 |
| 像素尺寸 | 70um~200um | 几个um~150um | |
| 成像面积 | 130~430mm² | 30~200mm² | |
| 采集速度 | 慢 | 中 | 快 |
| 暗电流 | 高 | 中 | 低 |
| 分辨率 | 低 | 中 | 高 |
| 残影 | 高 | 中 | 低 |
| 噪声 | 高 | 低 | |
| 低剂量性能 | 低 | 高 | |
| 集成度 | 低 | 高 | |
| 大尺寸 | 不需要拼接 | 需要拼接 | |
| 成本 | 中 |
小尺寸:中等 大尺寸:高 |
|
| 耐辐照型 | 相对高 | 中 | 相对低 |
表1各种类探测器比较
审核编辑:刘清
上一篇:裸机编程指南分享
下一篇:HDD需求不佳,西部数据业绩下滑
NVIDIA RTX PRO 4500 Blackwell GPU测试分析