时间:2025-08-11 15:51
人气:
作者:admin
RS1328是一款低功耗的八通道12位数模转换芯片,工作电压支持2.7V至5.5V,支持SPI、QSPI、Microwire和DSP接口互联,用于实现数字信号控制输出模拟电压、还原模拟信号、或者提供可控制的参考电压,在工业现场数据采集、各种仪器仪表测量设备分析设备上有着广泛的应用。

RS1328基于市场主流产品并根据用户的应用需求对主要参数做了优化,进一步降低了线性误差、零码输出误差、增益误差和满量程误差,并在兼顾低功耗的前提下优化提高转换速率,缩短输出电压建立时间,以使其能满足更多的应用场景。
其主要参数特性如下:
Ø保证输出单调性
Ø内置缓冲器,轨对轨电压输出
Ø上电输出零电压
Ø支持菊花链设计
Ø同步输出
Ø各通道独立关断
Ø两组独立的参考电压,支持0.5V~VA
Ø低功耗:
工作模式:
2.25mW(3.0V) / 4.85mW(5.0V)
低功耗模式:
0.3μW(3.0V) / 1.0μW(5.0V)
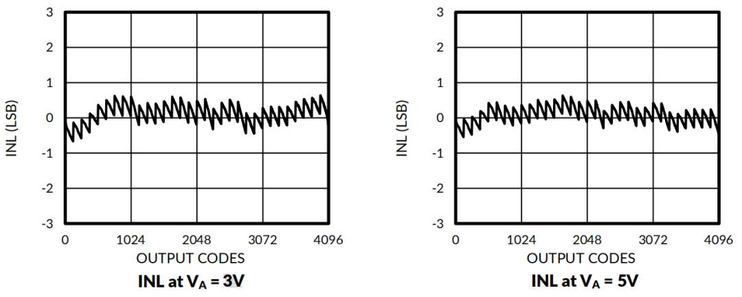
ØINL: ±2LSB
ØDNL: +0.3LSB/-0.15LSB
Ø零码误差 4mV(Typ)
Ø满量程误差 -0.04%FSR
Ø输出电压建立时间2μs(Typ)
Ø扩展级工业温度范围:-40°C ~ 125°C
RS1328采用电阻串(Resistor String )架构设计,参考DAC128S085的参数指标,在平衡工艺和实际应用要求的基础上,实现了优秀的交直流特性。

部分参数曲线如下:

图1. DNL性能曲线

图2. INL性能曲线
更详细的数据和参数曲线请参考规格书。

RS1328封装和管脚定义
RS1328提供标准TSSOP16封装,管脚定义完全兼容DAC128S085,欢迎各界工程师朋友品鉴评测。
龙腾半导体SGT MOSFET LSGT085R018在智慧农业无