时间:2023-12-01 10:33
人气:
作者:admin
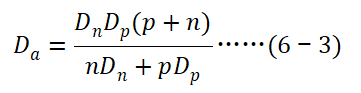
上一章我们对IGBT稳态的分析中,在IGBT的大注入条件下,电子和空穴的运动相互影响,这个影响关系需要用双极性扩散系数来描述。
电子电流和空穴电流的关断瞬态过程不同,因为IGBT关断过程首先是将其MOS部分关断,电子电流被掐断,之后流经BJT部分的空穴电流才逐渐关断。
因此为了后续加深对稳态和瞬态过程物理意义的理解,这里有必要在求解(6-2)之前,对双极性扩散系数
再作理解,分别将电子电流
和空穴电流
与
建立起关系。
在《IGBT中的若干PN结》的“PIN结构”中,我们描述了电子和空穴的相互影响,并给出了
表达式(6-3) ,当时没有对其作推导,这里有必要做一个补充。

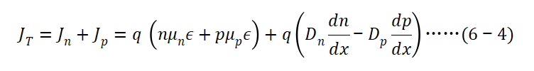
在《微观电流》一章中,我们讲解了电子电流与空穴电流均可表达为漂移电流和扩散电流之和,且总电流为电子电流与空穴电流之和,即

将(6-4)电场
提取出来,并分别代入电子电流和空穴电流表达式,可以得到
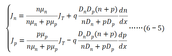
、
与
的关系式,如下:

(6-5)右边第二项即为双极性扩散系数
表达式,说明电子电流或者空穴电流的变化会引起总电流的变化,反之总电流的变化也会引起电子电流和空穴电流的变化,即电子和空穴的运动相互影响。
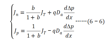
令
, 即电子和空穴的迁移率之比,并根据电中性原则,令
, (6-5)可以简化如下:

由此,我们就建立了电子电流
和空穴电流
与空穴空间分布
之间的关系,当得知多余载流子浓度分布
之后,就可以根据(6-6)分别求出不同位置的电子及空穴电流。
这里以《IGBT的物理结构模型》中“PIN&MOS模型”的PIN1和PIN2为例,其在base区域的载流子浓度分布不同,如下左图所示,相应的电子电流和空穴电流在不同位置的大小也不相同,如下右图所示。
可以看出来,越靠近BJT集电极的位置(
),电子电流占比越大。
后续关断瞬态分析中,可以进一步看出这个差异以及关断过程中总电流变化所引起的电子电流
和空穴电流
变化。

龙腾半导体SGT MOSFET LSGT085R018在智慧农业无