时间:2025-04-01 10:00
人气:
作者:admin
TLV916x 系列(TLV9161、TLV9162 和 TLV9164)是 16V 通用运算放大器系列。这些器件具有出色的直流精度和交流性能,包括轨到轨输入/输出、低失调电压(典型值为 ±210µV)、低温漂(典型值为 ±0.25µV/°C)和低噪声(1kHz 时为 6.8nV/√Hz,10kHz 时为 4.2nV/√Hz)。
数据手册:*附件:TLV9161 单路、16V、11MHz、轨到轨输入和输出、低失调电压、低噪声运算放大器技术手册.pdf
TLV916x 具有诸多特性,例如电源轨的差分和共模输入电压范围、高短路电流 (±73mA) 和高压摆率 (33V/µs),是一款灵活可靠的高性能运算放大器,适用于各种工业应用。
特性
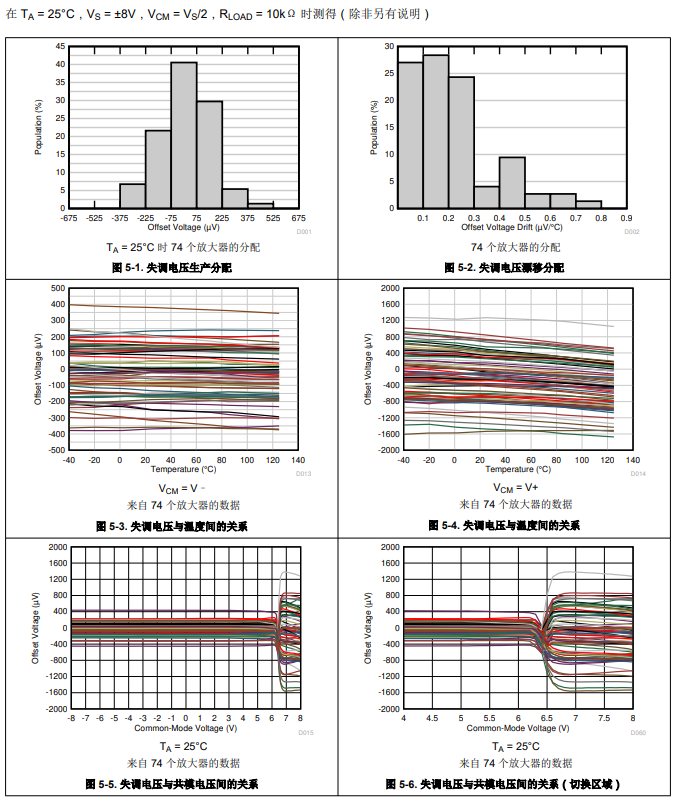
• 低失调电压:±210µV
• 低失调电压漂移:±0.25µV/°C
• 低噪声:1kHz 时为 6.8nV/√Hz,宽带为 4.2nV/√
Hz
• 高共模抑制:110dB
• 低偏置电流:±10pA
• 轨至轨输入和输出
• 支持多路复用器/比较器的输入
– 放大器的差分输入最高可达电源轨
– 放大器可用于开环中,也可用作比较器
• 高带宽:11MHz GBW,单位增益稳定
• 高压摆率:33V/µs
• 低静态电流:每个放大器 2.4mA
• 宽电源电压:±1.35V 至 ±8V,2.7V 至 16V
• 强大的 EMIRR 性能
引脚配置和功能
典型特性
功能方框图
特性说明
TLV916x 使用特殊的输入架构来消除对输入保护二极管的需求,但在瞬态情形下仍能提供可靠的输入保护。可以通过快速瞬态阶跃响应来激活图 6-1 中所示的常规输入二极管保护方案,但由于存在交流电路径,这将引入信号失真和稳定延时时间,如图 6-2 所示。 对于低增益电路,这些快速斜向输入信号对背对背二极管进行正向偏置,这会导致输入电流增加,进而使稳定时间延长。

TLV916x 系列运算放大器采用专利输入保护架构,不会引入额外的信号失真或延迟的稳定时间,提供了真正的高阻抗差分输入能力,因此非常适合用于多通道、高开关输入应用。TLV916x 允许最大差分摆幅(运算放大器的反相和同相引脚之间的电压)高达 16V,使得该器件适合用作比较器或用于具有快速斜向输入信号的应用中,例如数据采集系统。
典型应用
图 7-1 显示了低侧电流检测应用中配置的 TLV9161。有关图 7-1 中所示电路的全面分析,包括理论、计算、模拟和测量数据,

应用
• 专业麦克风和无线系统
• 多路复用数据采集系统
• 测试和测量设备
• 工厂自动化和控制
• 高侧和低侧电流检测
龙腾半导体SGT MOSFET LSGT085R018在智慧农业无