时间:2024-02-08 07:34
人气:
作者:admin
使用运算放大器产生正弦波的常用方法之一是使用Wien电桥配置。电子电路设计非常简单,并提供了良好的整体性能。
顾名思义,运算放大器维也纳电桥振荡器或发生器基于维也纳电桥网络。这是 Max Wien 于 1891 年开发的一种桥式电路,它由四个电阻器和两个电容器组成。
Wien桥式振荡器已经存在了很多年,它作为音频振荡器在许多领域都有应用,要么使用分立电子元件,要么使用运算放大器。
由于运算放大器是易于使用的电子元件,可提供近乎完美的操作,因此它们被广泛用于此类电路中。
基本的维也纳桥电路如下所示,从中可以看出。

基本维也纳桥的电路
基本桥式电路用于许多应用,包括测量电容器的值,其中可变电阻器和已知电容器可用于确定电容器的值,通常为C1。
首先,让我们从定性的角度看一下电路。这有助于解释电路的实际操作,并了解其工作原理。

维也纳桥RC网络
从图中可以看出,该电路可以一分为二:维恩桥的一个串联元件,即串联电阻和电容器组成一个高通滤波器;和并联电容电阻元件形成从线路到地的低通滤波器。
换句话说,有一个串联的高通滤波器和一个并联的低通滤波器。总体效果是,两者的组合形成了一个选择性的二阶带通滤波器,该滤波器具有相当高的Q因数,谐振频率为f0.
简单地看网络,在零频率下,由电子元件 R1 和 C1 组成的串联低通滤波器将具有无限阻抗,因为直流无法通过电容器。
同样,在非常高的频率下,并联电路效应主要由电容器几乎为零的阻抗决定 - 它实际上使输出短路。
在这些频率之间有一个点,输出达到最大值 - 它的“谐振频率”,F0.
在这个谐振频率下,整个电路的电抗等于它的电阻,即:Xc=R,输入和输出之间的相位差为零。在此最大品脱时,输出电压的大小等于输入电压的三分之一。
还发现,网络中的相移随频率而变化,在谐振频率 f 处穿过轴0.

维也纳桥RC网络的电压和相位响应
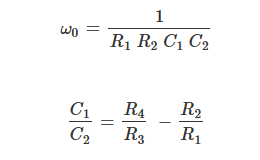
从电子电路设计的数学角度来看电路。维恩电桥特别灵活,不需要相等的电子元件R或C值。在某个频率下,串联 R2-C2 臂的电抗将是 R1-C1 臂的精确倍数。如果将两个 R3 和 R4 臂调整到相同的比率,则电桥将平衡。
在确定平衡频率方面,可以使用一些简单的方程式。

如果 R1 = R2 且 C1 = C1,则电子电路设计方程简化;结果是 R4 = 2 R3。
在实践中,电子元件 R1 / R2 和 C1 / C2 的值永远不会完全相等,但上面的等式表明,对于这些臂中的固定值,电桥将在 R4/R3 的某个 ω 和某个比率下保持平衡。
通过进行这些假设和简化,电子电路设计变得非常容易。
运算放大器维也纳电桥振荡器
对于正弦波振荡器的电子电路设计,电桥可以在反馈环路内使用,电路在平衡点(即网络的“谐振点”)振荡。此外,运算放大器的输入阻抗水平非常高,输出阻抗水平非常低,这意味着桥元件上的负载最小,这简化了电子电路设计。
Wien桥振荡器可以看作是一个正增益放大器,与一个带通滤波器相结合,通过该滤波器施加正反馈。当使用正反馈时,必须能够限制增益以避免过度失真水平。这是通过使用自动增益控制、有意非线性和偶然非线性限制输出幅度等多种方式实现的,它们可以以不同的方式用于不同的电路。
基本的Wien电桥振荡器或发生器电路如下所示,其中包含缠绕在运算放大器本身周围的电桥电路元件。在电路中可以看到提供正反馈的正增益放大器和带通滤波器。

运算放大器Wien桥振荡器的电路
包含电容器的电桥元件与同相输入相关联,纯电阻元件与反相输入相关联。要使电路振荡,对电路的分析显示必须有180°的相移,这要求C1 = C2,R1 = R2。此外,Rf 通常设置为 2 Rg。振荡频率可以通过以下简单公式确定:

这种形式的维也纳电桥振荡器/发生器电路的问题之一是产生的失真水平。如果Rf的值增加(增加电路的增益),则发现失真水平也会随着运算放大器达到饱和而增加。
在许多情况下,克服这个问题的一种简单方法是用小型白炽灯或热敏电阻代替电阻Rg。电阻比 Rf 设置为保持在 2Rg 左右。这个想法之所以有效,是因为当振荡器首次通电时,灯很冷,电阻很小。流过它的电流较大,灯或热敏电阻发热,从而增加其电阻,进而导致增益下降和电流下降。一段时间后,达到一个平衡点,振荡器将自我调节增益,从而调节失真水平。
用于维也纳桥式振荡器的二极管限幅器
限制振荡器振幅摆幅从而减少失真的另一种方法是在振荡器反馈环路中使用一对背靠背二极管。二极管可以放置在电阻 R 的一部分上f.随着振幅的增加,因此电阻有效减小,振幅减小。

带限幅二极管的运算放大器维也纳桥振荡器电路
该电路能够提供比电路更低的失真水平,而没有任何幅度限制。
Wien桥振荡器在许多应用中用于提供正弦波信号。尽管失真水平可能高于其他形式的音频振荡器,但它仍然提供了一种非常方便和可靠的音频正弦波振荡器形式。
审核编辑:黄飞
上一篇:模拟运算放大器微分器电路设计方案
下一篇:运算放大器移相振荡器电路设计
龙腾半导体SGT MOSFET LSGT085R018在智慧农业无