时间:2023-11-30 17:03
人气:
作者:admin
上一节的分析中,仅考虑了PIN1,而未考虑PIN2。PIN1与MOS结构相连接,而PIN2则与基区相连接。
实际工作中,IGBT的基区与发射极短路连接,PIN的阳极则与集电极相连,因为集电极接高压,而发射极接低压,所以PIN2的阴极区域与基区所构成的PN结一直处于反偏状态,因此这个区域的载流子浓度为0,所以边界条件与PIN1不同。
因为PIN2的这个特性,使得IGBT在基区附近的电导调制效应大为减弱,研究人员想了很多办法来改善该区域的载流子浓度分布,以降低IGBT的导通损耗。
鉴于这个特征对于IGBT器件的重要性,有必要详细分析一下实际工作状态中的PIN1和PIN2的不同,下面进行严格的对比数学推演,如果觉得过程繁冗的,可以重点关注边界条件的不同所导致的不同结果。


回顾“IGBT中的若干PN结”一章中的“PIN结构”一节,我们已经对PIN1的情况做过一些基本的推演,借此机会,这里把一些中间过程补上。
稳态情况下,载流子的浓度分布可通过求解扩散方程得到,以空穴为例,扩散方程表达如下:

其中,
,其中为
双极性扩散系数,
为载流子寿命,且
,该方程的特征解为,

根据PIN1的边界条件求解系数
和
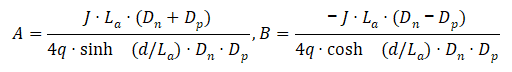
在“PIN结构”一节中,我们已经进一步整理出PIN1的边界条件,

将
的表达式做微分,并带入上述边界条件中,即可得到
和
与电流密度
之间的关系,如下:

将系数
和
带入
的表达式并整理,

取载流子寿命为1
,芯片厚度为100
,电流密度为
时,载流子浓度如图所示。显然,阳极(集电极)区域载流子浓度最高,在N-drift区域先降低,后升高。

对应IGBT结构(如图虚线区域顺时针旋转90°),阴极区域对应沟槽底部区域,即载流子到达沟槽底部时,其浓度会逐渐升高,所以沟槽底部的电导调制效应是会得到增强的。在实际设计中,也会有一些技术是通过增加沟槽底部这个区域的面积来增强载流子的浓度。当然,这会对其他参数造成影响,如输入电容等,设计中需要综合考虑。
下一篇:一文了解IGBT的极限值
龙腾半导体SGT MOSFET LSGT085R018在智慧农业无