时间:2023-12-01 11:13
人气:
作者:admin
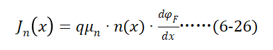
因为电子从费米能级高位向低位流动,因此根据电子电流的流向很容易绘出费米能级的弯曲方向,这里将BJT发射极到集电极的导带及价带能带示意图绘制如图所示。

费米能级弯曲的变化率(费米电势梯度
)所引起的电子电流为,

其中,
,因此欧姆电压
就是费米电势从
到
的积分。

下面,我们通过电子
总电流
关系、多余空穴浓度分布
与边界处空穴浓度
之间的关系,以及
与总电流
关系关系,即可准确地推演出
与总电流
的关系。
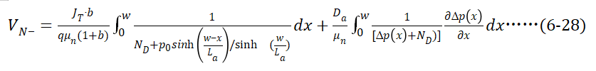
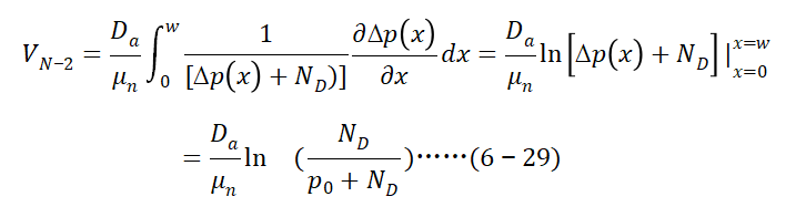
上述过程可以通过将(6-6)以及(6-10)带入(6-27),并稍作整理得到如下表达式,

需要注意的是,(6-28)中右边积分项分布中没有因为大注入假设而省去
,否则当
时会出现分母为0的情况。下面分别对(6-28)右边两项积分,分别将右边第一项和第二项定义为
。
很容求积分,如下,

积分过程相对繁琐,这里就不逐步进行推演了,感兴趣的读者可以尝试推导。
新定义
为有效电子浓度,其表达式如下,
从而
可表达为,

从(6-31)可以看出
的物理意义,
表征了电导率,所以
可以理解为对电导率的修正,即电导调制效应。
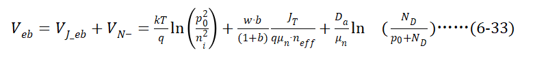
的积分结果为(过程省略),
经过前面的推导,可以准确地将
表达如下:

因此,
由三个部分构成,(6-33)右边第一项为结电压,第二项为经电导调制效应的欧姆电压 ,第三项为大注入下因电荷浓度分布而产生的扩散电压。

举例,还是采用前面相同的物理结构参数,调整总电流浓度
从
到
,观察上述三个电压构成随电流密度的变化趋势,如图所示。
可以看出,随着电流密度的增加,结电压变化幅度很小,电压增长主要来自于
部分。
结电压和扩散电压存在明显的饱和趋势,而欧姆电压则几乎呈线性增长趋势。读者如果感兴趣,可以尝试改变迁移率等其他变量,观察不同电压构成随电流密度的变化趋势。
至此,我们完整地建立了稳态下电压、电流与电荷浓度分布之间的关系,它们将作为下面瞬态分析的初始条件。
龙腾半导体SGT MOSFET LSGT085R018在智慧农业无