时间:2023-12-01 14:15
人气:
作者:admin
一、重要参数
转移特性曲线:固定VDS值,MOS晶体管的源漏电流IDS随栅源电压VGS的变化曲线。
阈值电压的提取方法:
①恒电流法:在转移特性曲线上取电流I=W/L*100E-9时的栅极电压。
②曲线外推法:根据饱和区源漏电流与栅源电压的关系式,


取晶体管处于饱和区时较大的VDS值,如15V, 使晶体管处于饱和区,做Sqrt(ID)-VGS的曲线,反向延长该曲线,其与X轴的交点即为阈值电压。
迁移率的提取方法:根据线性区源漏电流的表达式,取VDS为较小的值,如0.1V时,做ID-(VGS-Vth)的曲线,求该曲线的斜率,即可求出迁移率μn的值。

二、特性曲线各区详解

截止区:图中绿色虚线框选区域为NMOS管工作截止区,此时MOS管未开启,负压Vgs越大,漏电流越大。这并不是常规理解的MOS管栅极电压越高,管子关的越彻底,漏电流越小,造成这种反常现象的其一原因是GIDL(Gate Induced Drain Leakage), 即栅极与漏极之间的交叠导致的栅极漏电,栅压越强,漏电越大。其二原因是栅极负电压增大导致沟道表层空穴增多,p型属性增强,沟道层与漏端组成的PN结反偏电流增大,从而关态漏电流增加。
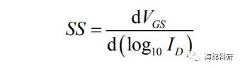
亚阈值区:Vgs1E-10至W/L1E-9的栅电压变化量。

线性区和饱和区:Vg>>Vt时,反型层厚度不断加厚,导电性能不断增加。
龙腾半导体SGT MOSFET LSGT085R018在智慧农业无