时间:2023-11-03 08:01
人气:
作者:admin
实验名称:
功率放大器在抗疲劳高压电压电材料研究中的应用
研究方向:
压电材料
测试目的:
为了研究材料在疲劳循环下的电学性能变化,本实验对材料施加交流电压循环测试,测试压电陶瓷在经过不同周次循环后检测其抗疲劳特性等电学性能特性。
测试设备:
ATA-2161高压放大器、信号发生器、示波器等。
实验过程:
压电陶瓷片表面被银后放在特制的加压模具中,整个模具浸泡在硅油中,防止高压产生的电火花引发危险。利用函数发生器设置想要加载在样品两端的波形,将电压信号输入ATA-2161高压放大器,根据自己所需电压设置倍数,并将放大的正负输出端分别夹在模具的正负极。
实验系统图
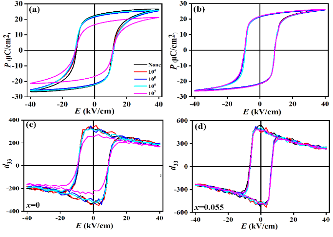
实验结果:
压电陶瓷在施加不同次数的电压后,放入专门测试仪器中测试其电学性能,具体结果如下图所示,左右两列为不同组分的性能测试图,对比改性前后,改性后的组分有明显电场抗疲劳效应,施加电场循环后仍能保持很好的电学特性。

实验中所用到的高压放大器ATA-2161指标参数:

写在最后
以上就是本期关于该案例的简要介绍~更多案例详情内容,欢迎大家在公众号后台留言联系小编获取案例全文,我们也将在后期分享更多功率放大器案例,敬请期待哦~
更多功率放大器相关应用:
功率放大器在压电驱动器输出力迟滞效应研究中的应用
功率放大器在电动汽车动态无线电能传输阻抗匹配研究中的应用
功率放大器在压电致动器开环实验特性研究中的应用
功率放大器在超声激励甲烷氨燃烧火焰排放特性研究中的应用
功率放大器在脉冲波形下污泥脱水特性及参数优化研究中的应用
关于安泰电子
西安安泰电子科技有限公司(Aigtek)是国内领先从事测量仪器研发、生产和销售的高科技企业。公司致力于功率放大器、功率信号源、计量校准源等产品为核心的相关行业测试解决方案的研发和生产。提供免费样机试用,免费专业工程师培训,免费测试技术交流。
龙腾半导体SGT MOSFET LSGT085R018在智慧农业无