时间:2023-11-03 08:21
人气:
作者:admin
运算放大器(Operational Amplifier)简称运放,是一种直流耦合,差模(差动模式)输入,通常为单端输出的高增益电压放大器。运算放大器能产生一个比输入端电势差大数十万倍的输出电势(对地而言)。因为刚开始主要用于加法、减法等模拟运算电路中,因而得名。
一
运算放大器的工作原理
运算放大器的差分输入包括一个正相输入电压与反相输入电压,理想的运算放大器只放大两个电压的差,这就是所谓的差模输入电压。运算放大器的输出电压由下式给出:
Vout=(V+ - V-)*Ado
Ado——运算放大器的开环差动增益。

二
理想的运算放大器
一个理想的运算放大器通常应具备下列特性:
①大的开环增益(Ado= +∞):理想运算放大器的一个重要性质就是开环的状态下,输入端的差动信号有无限大的电压增益,这个特性使得运算放大器在实际应用时十分适合加上负反馈组态。
②无限大的输入阻抗(Zin/Rin = ∞):理想的运算放大器输入端不容许任何电流流入,即上图中的V+与V-两端点的电流信号恒为零,亦即输入阻抗无限大。
③零输入失调电压
④无限大的带宽(BW= ∞)且零相移与无穷大的摆率:理想的运算放大器对于任何频率的输入信号都将以一样的差动增益放大,不因为信号频率的改变而改变。
⑤零输出阻抗(Zout/Rout = ∞):理想运算放大器的输出端是一个完美的电压源,无论流至放大器负载的电流如何变化,放大器的输出电压恒为一定值,亦即输出阻抗为零。
⑥零噪声
⑦无限大的共模抑制比(CMRR = ∞):理想运算放大器只能对V+与V-两端点电压的差值有反应,即只放大(V+ - V-)的部分。对于两输入信号的相同的部分(即共模信号)将完全忽略不计。
⑧无限大的电源电压抑制比
所有这些理想化都不可能完全实现。运算放大器模型中可以使用等效电阻和电容来模拟真正的运算放大器的非无限或非零参数。设计者这样就可以将这些影响考虑进最终电路的整体性能中。一些参数对最终设计的影响可能可以忽略不计,但其他那些实际制约最终性能的参数必须计算。
三
常见的应用设计
(1)反相闭环放大器

上图是一个反相闭环放大器的电路。假设这个闭环放大器使用理想的运算放大器,则因为其开环增益为无限大,所以运算放大器的两输入端为虚接地。又因为输入阻抗无限大,自Vin到V-之电流,等于V-到Vout之电流,则有:

(2)正相闭环放大器

上图是一个正相闭环放大器的电路。负反馈通过分压电阻Rf,Rg决定了闭环增益Acl=Vout/Vin。当Vout刚好足以使反相端电压等于Vin时将建立平衡。因此整个电路的电压增益是1+Rf/ Rg。输出电压公式有:

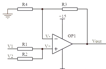
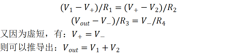
(3)加法器

上图是一种加法器电路。在理想运算放大器条件下,因为输入阻抗无限大,则流过R1和R2的电流相等,同理流过R3和R4的电流也相等。则有:

(4)积分电路

上图是一种积分器电路。在理想运算放大器条件下,开环增益为无限大,反向输入端的电压与同向端相等,因为输入阻抗无限大,通过R1的电流与通过C1的电流相等。

输出电压与输入电压对时间的积分成正比,这就是积分电路。
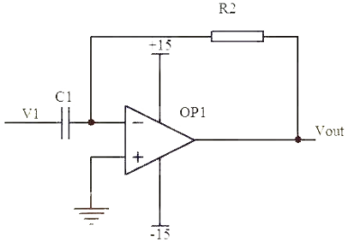
(5)微分电路

上图是一种微分器电路。在理想运算放大器条件下,开环增益为无限大,反向输入端的电压与同向端相等,因为输入阻抗无限大,通过R1的电流与通过C1的电流相等。

如果V1是一个突然加入的直流电压,则输出Vout对应一个方向与V1相反的脉冲。
龙腾半导体SGT MOSFET LSGT085R018在智慧农业无