时间:2023-11-14 10:05
人气:
作者:admin
MOSFET、IGBT、二极管等功率器件中起通流和开关作用的均是功率器件的有源区,那为什么还要在周围设计一圈终端区浪费芯片的一部分面积呢,留给有源区通流它不香么?本文就来讲讲终端区设计的必要性、终端区的工作原理以及终端区设计时的注意事项。

一
终端区设计的必要性


图1 PN结形貌示意图


图2 反向偏压下PN结载流子流向示意图


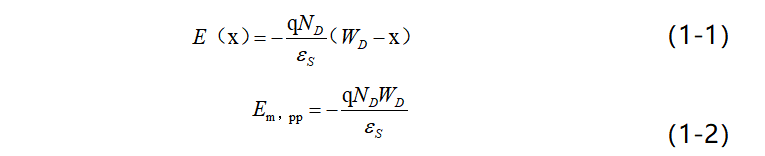
图3反向耐压时PN结电场示意图


图4柱面结耗尽示意图


二
终端区工作原理


图5场限环结终端工作原理


三
终端区设计注意事项

本文小结

审核编辑:刘清
龙腾半导体SGT MOSFET LSGT085R018在智慧农业无