时间:2023-10-20 08:24
人气:
作者:admin
当提到通信系统时,比起单端电路,差分电路总是能提供更加优良的性能——它们具有更高的线性度、抗共模干扰信号性能等。今天我们就说说RF信号链应用中差分电路的4大优点
利用差分电路可以达到
比利用单端电路更高的信号幅度
在相同电源电压下,差分信号可提供两倍于单端信号的幅度,它还能提供更好的线性度和SNR性能。

图1. 差分输出振幅
差分电路对外部EMI和附近信号
的串扰具有很好的抗扰性
这是因为接收的有用信号电压加倍,噪声对紧密耦合走线的影响在理论上是相同的,它们彼此抵消。
差分信号产生的EMI往往也较低
这是因为信号电平的变化(dV/dt或dI/dt)产生相反的磁场,再次相互抵消。
差分信号可抑制偶数阶谐波
以下展示了连续波(CW)通过一个增益模块的示例。
当使用一个单端放大器时,如图2所示,输出可表示为公式1和公式2。

图2. 单端放大器

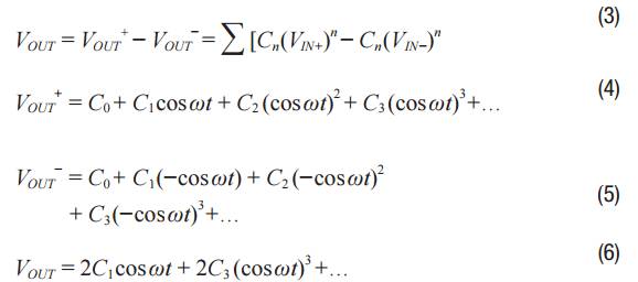
当使用一个差分放大器时,输入和输出如图3所示,表示为公式3、公式4、公式5和公式6。

图3. 差分放大器

理想情况下,输出没有任何偶数阶谐波,使得差分电路成为通信系统一个更好的选择。
原文转自亚德诺半导体
龙腾半导体SGT MOSFET LSGT085R018在智慧农业无