时间:2023-10-21 11:01
人气:
作者:admin
教科书上面在讲述TTL工作原理时候,运用到了BJT双极性三极管的基础知识,比如:倒置,钳位,深饱和,饱和压降。这些基础知识在教材上并没有特别明晰的说明。这里对此做了一些自己的思考和整理,欢迎指正。
TTL工作原理
一般来说,下面推导成立的条件是,电路中的电阻需要选择合适的值。
当ABC有一个为低电平时候
假设B输入为0.3V,推导过程如下1-8:

当ABC全部为高的时候
当ABC输入都为高电平3.6V的时候,推导过程如下1-8:

BJT的倒置状态
教科书上说:BJT的发射极与集电极不能交换使用,这是因为BJT并非对称结构。
正常工作在放大状态的时候,发射极导通,集电极反偏,因为发射极掺杂浓度高,大量高浓度电子扩散到基极,集电极反偏后,PN结内电场加大,而基区很薄,里面大量电子将很容易在电场吸引力下漂移到集电极,形成较大的集电极电流:

倒置时基极到集电极正常导通,由于三极管集电区掺杂浓度不高,扩散的基区自由电子少,同时由于发射极面积小,最终发射极反偏电场只会收集很少量的从基区漂移过来的自由电子,形成的电流很小,处于截至状态。

这里并没有放大能力,集电极电流应该约等于基极电流。这种情况就当作普通两个二极管如下连接:

三极管基极钳位电压
上面分析TTL的时候,钳位的概念就是说这个基极到发射极压降UBE是固定值0.7V。在教材里面,会有BJT的输入特性曲线,这里看到,UBE可以在在一定范围内:

这个特性曲线里面并没有标出具体的数值,下面的一个图是通过实验数据画出的曲线,可以看到导通电压虽然在一定范围,但是这个范围变化很小,所以在上面分析的时候采用了固定的值,这也是PN结本身的物理特性:

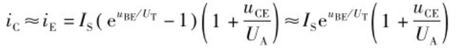
在BJT的大信号特性方程——EbersMoll方程里面:

可以看到是集电极电流是UBE的函数,那么我们一会把UBE钳位在0.7V,一会又要求它是一个函数的输入变量,这里还是要对使用场合加以思考和区分。
另外虽然上面的方程是UBE作为变量,但是在BJT的输出特性曲线里面,我们看到的往往是IB作为变量,可能主要还是说明BJT是一个“电流控制元件吧”,但本质还是UBE的改动引起IB的改动。

BJT的饱和状态
饱和的意思是基极电流的增加不再引起集电极电流的增加(饱和了,到头了),或者说IC不再受IB的控制,或者说放大不起作用了。
这一层的意思是IB增加到一个值,就进入饱和状态。而从输出特性曲线来看,是UCE减少到一个值,就进入饱和状态。
饱和是BJT的物理状态,上面的两种表述应该是相关的,看出来好像是IB增加到一个值的时候,UCE也减少到一个值。
可以用下面的图来进一步理解:

可以看到UCE应该是IB的减函数,另外还能看到,饱和区是和负载相关的,负载越大,进入饱和区越快,因为UCE减小越快。注意在饱和区放大系数不成立了,从而也不能用图里面的公式计算UCE了。
结合特性曲线,如下面箭头所示。可以猜测,从放大到饱和,伴随着IB增大,UCE减少,然后iC刚开始还是增大的,当进入饱和区后,iC不再增长,甚至会减少。

从载流子的分析来看,因为IB增大,发射极更多的自由电子进入基极,但是UCE减少后,PN结电场强度减弱,吸引基极自由电子漂移能力减弱,从而集电极电流不会一直增加,会到一个饱和状态。
在上面电路中,IB可以通过调节Rb或VBB改变。我们可以调节使得VT从饱和区进到放大区,或者从放大区进到饱和区。从放大区进到饱和区符合上面饱和的本来意思,即不能继续放大。
比如我们通过调节让UCE逐渐变小:情况1->4,这对应到输出特性曲线从右往左:

这个里面,1是集电极反偏,仍然对IB电流放大,在进到2的时候,集电极刚好正偏,开始进入饱和区,属于临界区,3是处于饱和区。3的情况再进一步增大IB,就进入深度饱和,比如4的情况,这个时候Ic也急剧下降。
当集电结刚正偏时,iC并未立刻明显下降,而是当集电结正偏电压达到一定值(对于小功率管,该值约为0.3 V)时,iC才明显下降。此时,各条输出特性曲线近似重合在一起。UCES代表饱和区的压降,称为饱和压降。在TTL分析中用到的一个值,取为0.3V。
在大信号分析中,饱和状态直接短路连接了,因为0.3/0.7的压降忽略不计。注意区别:

龙腾半导体SGT MOSFET LSGT085R018在智慧农业无