时间:2023-10-16 14:32
人气:
作者:admin
众所周知,氮化镓功率器件为电力电子系统提高频率运行,实现高功率密度和高效率带来可能。然而,在高频下需要对EMI性能进行评估以满足EMC法规(例如EN55022 B类标准)要求。
为了达到此目标,本文提出了针对连续电流模式无桥图腾柱功率因数校正电路(PFC)的EMI滤波器设计流程。针对功率密度增加带来的效率影响,将导致功率密度和效率之间的权衡,本文将氮化镓基无桥图腾柱PFC与传统硅基PFC进行了数据对比,并提出了采用基于氮化镓器件的图腾柱PFC最佳范围来权衡功率密度和效率。
EMI建模和滤波器设计
如图1所示是单相无桥图腾柱PFC的基本原理图。为了满足EMI标准,在拓扑结构和交流电源之间需要添加EMI滤波器,以衰减高速开关过程产生的噪声。文献[1]已经对该拓扑进行了详细讨论。与传统的升压PFC相比,由于省略了桥式二极管导通损耗,图腾柱PFC系统的设计效率非常高。其中蓝色晶体管代表高速桥臂,一般采用宽禁带器件(例如GaN 功率器件)。
主要原因是氮化镓器件具有零反向恢复(Qrr = 0),使得在高频换流过程中高频桥臂的开关损耗大大降低,所以可以采用连续电流模式对图腾柱PFC进行设计,满足中大功率变换的需求。除了显着降低开关损耗外,氮化镓器件的零反向恢复还大大减少由高频换流di / dt引起的EMI噪声产生,特别是对于辐射噪声,可以参考文献[2]。本文下一部分将重点讨论高频连续电流模式图腾柱PFC传导噪声的EMI建模方法。

图1 单相无桥图腾柱PFC的基本原理图
如图2所示,EMI噪声是通过连接在交流电源和被测设备(DUT)之间的线路阻抗稳定网络(LISN)进行测量。EMI测试接收器连接到LISN的输出,以便与标准定义的限定值进行比较。该LISN实际上相当于一个高通滤波器功能,目的是将高频噪声电流捕获到RC(0.1µF +50Ω)测试路径中被测设备产生的EMI噪声可以由EMI测试接收器通过50Ω电阻测量。同时,LISN还阻止了所有来自交流电网的噪声,以确保接收器仅仅从被测设备测得噪声。图2给出了连续电流模式图腾柱PFC的差模EMI滤波器等效电路,其包括两级LC差模滤波器(LDM1 + CX1和LDM2 + CX2)。

图2 连续电流模式图腾柱PFC的EMI滤波器等效电路
差模噪声是由具有dv / dt和di / dt高频开关过程产生,同时需要考虑PFC电感上具有纹波电流影响。理论上,对于给定的功率和电感的纹波电流,第一个峰值噪声幅值(Vnoise_pk)就确定下来。根据傅立叶分析,此Vnoise_pk可以通过以下公式估算:

其中,输入电感电流i(t)是由纹波电流波形∆i(t)加上工频正弦电流总和得到:


∆i(t)是电感L的纹波电流,由公式(3)可以得到,它根据L的电感,开关周期Ts,占空比D和输入/输出电压Vin / Vout计算得出;Zc是电路阻抗,对于无桥图腾柱PFC电路,可以用等效电阻负载来表示。

图3 频率为65KHz和200KHz的模拟噪声对比
根据公式(1)至(3),图3给出了具有230V交流输入和400V 直流输出的1.5KW 连续电流模式图腾柱PFC的差模噪声频谱,其中开关频率分别设定为65KHz和200KHz。由此可见,模拟的差模噪声频谱具有以下特性:
EMI滤波器的目的是通过设计并带有足够的设计余量来抑制超出EMI标准限制的噪声。因此输入差模滤波器提供的满足EMI标准所需的衰减量DeltaEMI公式可写为(4):

这里:

图4(a)EMI滤波器提供的所需衰减(DeltaEMI)(b)差模滤波器在20µH + 2.2µF数值时两级LC滤波器插入阻抗特性
基于上述的差模EMI噪声模型,可得到如图4(a)所示的1.5KW 连续电流模式图腾柱PFC电路的输入EMI滤波器在不同频率下所需衰减幅值。当开关频率在50KHz至75KHz的范围内时,最恶劣的150KHz以上噪声频率应为三倍开关频率。当开关频率为75KHz至150KHz时,最恶劣的噪声频率应为二倍开关频率。同时,在75KHz和150KHz频率处存在衰减幅值的跳变点,即在75KHz或150KHz附近略微改变开关频率会导致滤波器设计很大差异。
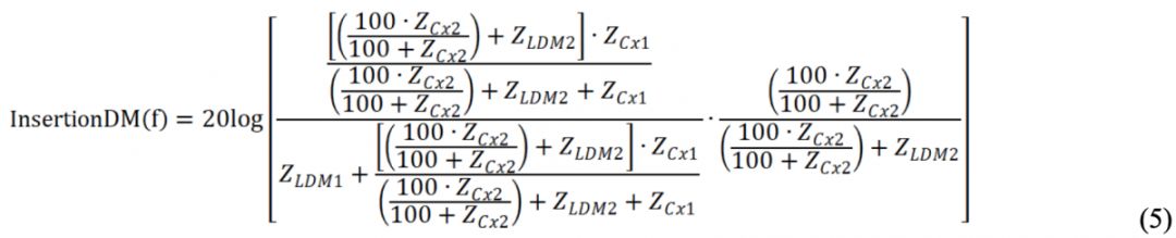
因此,当选择75KHz和150KHz附近的开关频率时,建议将开关频率设置为略低于跳变点频率。高于150KHz时,最恶劣的噪声频率是开关频率的基频,并且150KHz之后所需衰减噪声幅值不会发生明显跳变。在获得所需的衰减DeltaEMI之后,插入两级LC低通滤波器以抑制噪声。公式(5)给出了其插入阻抗(InsertionDM)。
在得到衰减幅值(DeltaEMI)和插入阻抗(InsertionDM)之间的关系式后,可以在不同的滤波器转折频率fc下设计EMI滤波器的值。当InsertionDM的绝对值等于或大于DeltaEMI(即│InsertionDM│≥│DeltaEMI│)时,其可以满足EMI标准要求并具有至少6dBµV的设计余量。

图5是根据上述推导建模得出的1.5KW 图腾柱PFC在65KHz和200KHz差模EMI滤波器设计。DeltaEMI(红线)是随频率变化所需的衰减,而蓝线是输入滤波器的频域插入阻抗(InsertionDM),用于衰减噪声。当DeltaEMI的绝对值等于InsertionDM的绝对值时,滤波器设计可以以6dBµV的余量通过EMI标准。它证明了在200KHz的高开关频率下,与65KHz的低开关频率相比,输入EMI滤波器值(LDM1,LDM2,Cx1和Cx2)在滤波器的转折频率fc较高,滤波器尺寸较小。
如上所示,尽管要求的65KHz的第一衰减幅度低于200KHz的幅度,但要求的滤波器的转折频率fc却不同,这意味着滤波器的转折频率越高,EMI滤波器的尺寸就越小。这种建模分析方法也可以应用于共模 EMI滤波器设计,并且可以获得与差模EMI设计相似的结论。因此高开关频率并不一定会增加传导EMI设计的难度。相反,可以有助于减小EMI滤波器的尺寸并提高功率密度。

图565KHz和200KHz频率下1.5KW 连续电流模式图腾柱PFC EMI滤波器设计
电感尺寸和最优频率
除了EMI滤波器之外,开关频率还影响PFC的电感对功率密度影响。理论上,开关频率越高,电感值和尺寸越小。然而,在小尺寸的情况下,电感的散热面积受到限制,因此应将电感的损耗和热设计考虑进去,在体积与热之间做权衡。图6是1.5KW 连续模式图腾柱PFC在 65KHz到300KHz下电感参数比较,电感的尺寸从100KHz到200KHz是得到显著减小,当开关频率高达300KHz,考虑到由于散热面积的限制而引起的电感温度上升,体积减小的幅度将大大降低。

图6不同频率下1.5KW连续电流模式图腾柱PFC电感的尺寸
如引言中所述,功率密度的增加(即体积的减小)会影响效率,这两个指标之间存在折衷。根据应用,对效率和功率密度的目标有不同的权衡。例如,对于数据中心服务器电源,由于节能钛金等80+标准要求,通常优先目标是首先选择目标效率,然后尽可能提高功率密度。然而,对于电动车车载充电机,通常功率密度和重量更为重要,并且优先目标将是实现小体积,然后尽可能地提高效率。

图7 1.5KW 连续电流模式PFC的最高效率和功率密度
图7显示了两种配置的1.5KW PFC最高效率和功率密度与开关频率的关系曲线。第一种是带硅MOSFET和碳化硅肖特基二极管的传统交错式升压PFC电路,简称为硅基PFC,另一种是采用氮化镓( GS66508B)的无桥图腾柱PFC电路,简称为氮化镓基PFC。对于硅基PFC,效率性能受到硅MOSFET的品质因数(FOM)和桥式二极管的额外导通损耗的限制。因此,硅基PFC的开关频率通常会被限制在100KHz以下,并且较难实现更高功率密度。
氮化镓基PFC可以实现相对较高的功率密度。根据上面的EMI滤波器和电感器设计分析,我们可以计算出氮化镓基PFC随开关频率增对功率密度的提升。采用氮化镓基PFC可以在100KHz到200KHz下显著增加功率密度,而超过300KHz时,由于热性能的考虑功率密度增加受到限制,随着电感和晶体管损耗的增加,峰值效率会低于98%。关于效率比较,氮化镓器件具有极低开关损耗的优势,因此,随着开关频率的增加,氮化镓基PFC的最高效率曲线相对硅基PFC来说平坦得多。
简而言之,氮化镓器件帮助实现了更高的开关频率和更高的功率密度,同时保持相对较高的转换效率。对于这个特定的1.5KW设计示例,氮化镓基PFC的最佳频率范围是200KHz至250KHz,以达到权衡效率和功率密度的目的。
总结
本文介绍了一种用于高频无桥图腾柱PFC的简单EMI滤波器建模方法。综上所述,氮化镓功率器件具有更高工作开关频率下的高效率,提升了功率密度,进而得到更小体积的系统优势。文章提供了1.5KW氮化镓基无桥图腾柱PFC的最佳频率范围,以实现高功率密度和高效率的权衡。
龙腾半导体SGT MOSFET LSGT085R018在智慧农业无