时间:2023-10-17 14:10
人气:
作者:admin
本文对基于二极管桥的差分电容读出电路进行了全面的理论分析。基于理论模型,给出了电路参数与读出电路的幅频和相频响应之间关系的数值模拟。根据仿真结果,演示了读出电路参数优化方法。实验结果表明,电路参数对输出的影响与数值模拟基本一致。读出电路的优化增益约为117.1mV / fF。
介绍
大多数MEMS陀螺仪都依赖于电容式传感原理。因为电容式读出稳定,功耗低,灵敏度高,结构简单,并且与CMOS技术兼容。但是,其中一个最重要的问题是电容式MEMS陀螺仪的检测电容非常小(fF甚至aF量级)。因此,电容读出电路始终是热门的主题之一,需要高分辨率读出电路来检测电容变化。
常用的电容检测方法包括:电荷放大器,跨阻放大器和开关电容放大器。与前面提到的电路相比,二极管桥电路具有三个特殊功能。首先,在读出电路中不使用传统的调制/解调技术。该电路仅需要处理通常具有低频率的机械振动信号。其次,该电路将低频振动信号传递到高频,在降低1/f噪声的同时提高了环境稳定性。第三,二极管桥电路的增益与结构和外部电容器的静态电容成反比。此功能意味着更容易获得高灵敏度。Matsuo,Xia和Wei之前研究过二极管桥型读出电路。然而,电路参数的详细优化策略尚未得到详细解释。
在这项工作中,进行了电路的理论分析和数值模拟。其中包括:详细分析了电路输出的幅频和相频响应以及不同的电路参数。基于以上工作,提出了一种高灵敏度电路参数的优化策略。 实验结果表明,优化策略提高了性能,并验证了数值模拟。
01
理论分析
如图1所示,左侧是具有差分电容传感结构的MEMS陀螺仪,右侧是传感结构的简化示意图。 绿色和蓝色结构分别代表可移动电极和固定电极。实际应用中,传感电容器将由高频载波调制,而可移动结构也将在陀螺仪的固有频率下谐振。那么,差分传感电容,C1和C2可以表示为:

其中C0表示固定电极和可动电极之间的静电容,ΔC表示最大电容变化,ωd是可动结构的共振频率。

图2是基于二极管桥的差分电容读出电路的简化示意图。除了二极管桥D1~D4和差分电容C1,C2之外,该电路还包括一个高频载波发生器Vc,一个仪表放大器,以及一些精密电阻RL和精密电容CL。

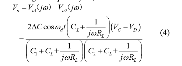
简而言之,电路工作原理如下:当载波为正时,二极管D2和D3导通,D1和D4同时闭合,载波对通过C1和C2对LC和LR充电。所以我们有(Vd表示二极管的导通电压):

载波的为负和为正时情况相似,考虑完整的周期,我们有:

对于上面的公式,我们使用MATLAB构建了数值模拟。
图3和图4分别示出了读出电路输出相对于LR和LC的幅频响应和相频响应。载波频率为8 MHz。
从图3中可以看出,当Cl大于1 pF且Rl大于10kΩ时,读出电路具有线性输出关系。这种线性关系是当电容越大,输出增益越小。从图4可以看出,为了使输出相移变小,必须使Cl大于100 pF,Rl大于100kΩ。但是,Rl不能太大,因为Rl越大,电路的热噪声越大。
最重要的是,以高增益和低相移作为优化目标,我们的策略是使载波大于1 MHz,让Cl介于100 pF和1 nF之间,Rl介于100 k和1 M之间(Ω)。


02
实验与讨论
MEMS陀螺仪在金属外壳真空封装后安装在PCB板上。高频载波发生器由LTC1799制造。 仪表放大器采用具有极低的失调电压和失调电流的AD8421。二极管桥是HSMS2829。它是一款RF肖特基二极管,具有超快的开关速度和极低的导通电压。外部电容为NPO电容,温度几乎不变,精度误差小于1%。外部精密电阻采用薄膜贴片电阻,精度误差小于0.1%。


第一个实验是研究不同外部电容和读出电路输出之间的关系。在实验中,外部电阻为100kΩ,载波频率为8 MHz。然后,我们将外部电容改变为以下值:2.2pF,3.3pF,10pF,47pF,100pF,220pF,1nF,2.2nF,3.3nF,10nF,22nF,100nF。第二个实验是研究不同外部电阻和电路输出之间的关系。外部电容为100 pF,载波频率为8 MHz。然后,我们分别选择1k,10k,20k,100k,200k,510k,1M,2M,5.1M,10M(Ω)之间的外部电阻。
实验结果如图5和图6所示。在图5中,我们可以看到输出电压随电容增加而显着下降,尤其是当电容大于100 pF时。在图6中,输出电压随着电阻的增加而增加。但是,当电阻值大于100kΩ时,增加不显着。静态电容C0为0.706pF,由精密LCR测量仪Agilent 4980A测量。如果我们使用AD8421的最大范围并选择Cl = 100 pF,Rl =100kΩ,则电容-电压增益将达到117.1mV / fF,这种性能优于之前的大多数研究。
03
总结
本文对基于桥式二极管的电容读出电路的理论分析进行了论证。给出了不同参数下读出电路幅频响应和相频响应的数值模拟。根据仿真结果,为了实现高增益,我们提出了一种电路参数优化策略。 实验结果表明,根据优化策略,读出电路的增益可达到117.1mV / fF,参数的影响也与仿真一致。
龙腾半导体SGT MOSFET LSGT085R018在智慧农业无