时间:2023-09-27 15:24
人气:
作者:admin
选型无源混频器的时候,发现变频损耗一般都大于6dB,为什么做不到更小?
我印象中,在看混频器资料的时候,说混频器的变频损耗的理论值是3.9dB,但是没有去深究过到底是为啥。
小伙伴这个问题提出来了,然后我觉得,这个问题查查资料,应该能得出答案。
于是,我就开始看资料了。
但是,理想丰满,现实骨感,发现自己看了接近一上午,并没有搞懂。
写出来,让大家一起来看看。
如果混频器是无源混频器的话,比如二极管混频器时,其总的变频损耗是由多个损耗因素组成的,如下图所示。

理想情况下,混频器只产生上边带和下边带,所以与输入信号相比,会有3dB的损耗。
输入和输出的变压器,会在两个边带上叠加上0.75dB的损耗。
因为二极管的级联电阻Rs,所以还会有二极管损耗。
根据下式,对二极管损耗进行计算:

假定Rs=8 ohm,那么Diode Loss=0.5dB,所以混频器的总的变频损耗为:

章节中,还有一些其他的内容,也还是有知识盲点,没有弄懂。从上下文看,上面的这个例子,是针对双平衡混频器的。
接着,我又打开另外一篇文献,即文献[2]。
发现,不但没能解决文献[1]中的知识盲点,反而更迷糊了。文献中,完全又是另外一种思路。
文中,详细推导变频损耗的过程是基于单端混频器的。所谓单端混频器,如下图所示,RF输入和LO输入,通过耦合器或者滤波器,同时输入至传输线,而该传输线的另一端是一个二极管。

如上图所示的模型,因为结电容和封装寄生参数的影响,源电阻变为Z0.
本振信号,使得二极管,在接近一半的周期内导通,另一半周期不导通。所以二极管的反射系数,随着时间,周期变化。
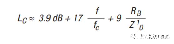
然后文献中,基于二极管的I/V曲线,推导出二极管的电导,又根据电导推导出反射系数,然后根据反射系数推导出反射电压,然后就得到变频效率,进而得到变频损耗为:

审核编辑:刘清
龙腾半导体SGT MOSFET LSGT085R018在智慧农业无