时间:2023-09-25 14:20
人气:
作者:admin

1 基本电磁理论
信号完整性分析是以电磁场理论作为基本理论,所涉及的基本电磁理论基础包括麦克斯韦方程组、传输线理论、匹配理论等。
经典电磁理论的基石是麦克斯韦方程组,它是描述一切电磁现象的基本规律。
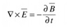
1) 法拉第电磁感应定律:变化的磁场产生电场,对任意的闭合环路:


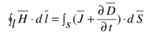
2) 传导电流与变化的电场产生磁场:

3) 麦克斯韦方程组

在线性、各向同性媒质中,场量的关系由三个辅助方程:

表示,称为本构关系。
4) 高频效应
集肤效应:
在高频情况下,电磁波进入良导体中会急剧衰减,甚至还不足良导体中一个波长的距离上,电磁波已收到显著衰减,所以高频电磁场只能存在良导体表面的一个薄层内,将电磁波场强振幅衰减到表面的1/e的深度称为趋肤深度:

可以看出,电导率越大,工作频率越高,趋肤深度越小,导致高频时的电阻远大于低频或直流时的电阻。
邻近效应:
若干个载流导体间的相互电磁干扰时,各载流导体截面的电流分布与孤立载流导体截面电流分布不同。当相反方向电流的两导体临近时,在相互靠近的两侧面最近点电流密度最大;当电流方向相同时,两外侧面的电流密度最小;一般邻近效应使得等效电阻增大,电感减小。
损耗角:
为了说明媒质在某个频率上的损耗大小,用损耗角正切来表示,在频率不高的情况下,损耗角正切代表传导电流和位移电流密度之比。

广义传输线是引导电磁波沿一定方向传输的导体、介质或由它们组成的导行系统。我们一般所讨论的传输线是指微波传输线,其理论是长线理论,即当传输线的几何尺寸与电磁波的波长可以相比拟时,必须考虑传输线的分布参数(或称寄生参数)。在高速数字或射频电路设计和高速电路的仿真设计中,许多电磁现象必须应用传输线理论进行解释,传输线理论是研究高速数字(或射频)电路的基础。
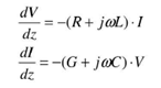
当传输信号速率或频率达到一定时, 传输信号通道上的分布参数必须考虑。以平行双导线为例, 其上的集肤效应带来单位长度射频阻抗增大; 到射频段, 平行双导线周国的磁场很强, 其寄生电感必须考虑: 平行双导线间的电场要用电容来等效; 导线间在频率很高时还要考虑导线间的漏电现象。所以一条单位长度传输线的等效电路可由R、L、G 、C 四个元件组成,

传输线方程:

方程的通解为:

其中v +, v- 、I+ 、I- 分别是电压波和电流波的振幅常数,而+、一分别表示入射波( +Z )及反射波C - Z )的传输方向。
传播常数γ定义为:

其中α为衰减常数, β 为相位常数
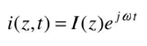
传输线上一点的电压和电流分别是入射波与反射波的叠加。在Z 轴上任一点的电压及电流表达式为:


一般传输线的特性阻抗定义为传输线上行波电压与行波电流之比,即:
对于无
损耗线或低损耗线时:特性阻抗及Z。传播常数γ分别为:
传输线上一点的输
入阻抗定义为传输线该点的电压与电流之比:

当负载阻抗与传输线特性阻抗不相等, 或连接两段特性阻抗不同的传输线时- ,由于阻抗不匹配会产生射现象, 从而导致传输系统的功率容量和传输效率下降,负载不能获得最大功率。为了消除这种不良反射现象,可在其间接入一阻抗变换器,以获得良好的匹配。


当RL =Rs 时可得最大输出功率,称此状况为匹配状态。
当输入阻抗Zs 与负载阻抗ZL 互为共辄,即Zs =ZL* 时,形成广义的阻抗匹配。因此,阻抗匹配电路亦可称为阻抗变换器。
龙腾半导体SGT MOSFET LSGT085R018在智慧农业无