时间:2023-09-17 15:31
人气:
作者:admin
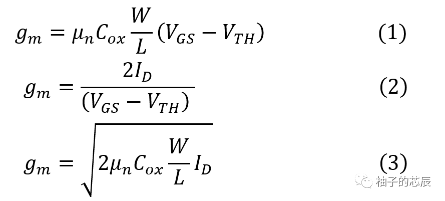
我们在写跨导gm的表达式时,知道gm有三种表达式。表达式含有的变量其实只有三个,一个W/L,一个Vgs-Vth,还有一个Id。
每个表达式其实只包含三个变量中的两个,例如下图中的公式(1)就是最常见的表达式,其中的gm是用W/L以及Vgs-Vth来表示的,如果将W/L用电流代替,则得到公式(2),如果将Vgs-Vth用电流代替,则得到公式(3)。
公式(2)是我们在设计阶段经常使用的公式,因为它不含有任何工艺参数,在固定Vgs-Vth的情况下,很容易得到Id与gm的关系。

从公式(2)和公式(3)来看,可能会有疑惑,gm与Id到底是正比关系还是平方根的关系呢?其实这并不矛盾,二者皆有可能,主要是要区分场景。
我们知道Id的表达式里是含有W/L以及Vgs-Vth两个变量的。所以虽然gm只需要两个变量来表达,但是它可能会隐含了另外一个变量还是在变化的情况。
例如,对于公式(2),固定Vgs-Vth,将Id增大1倍,gm也增大1倍。但是这里Id增大1倍,在固定Vgs-Vth的前提下,只能是通过将W/L增大1倍来获得,所以这里隐含了W/L增大1倍。所以再看公式(3),Id增大1倍了,W/L增大1倍,开完根号后,gm也还是增大1倍,与公式(2)并不违背。
所以我们在使用gm的表达式时,要看实际的场景。
1、在测试的过程中,此时MOS管的大小已经固定了,也就是W/L固定了,这个时候我们只能使用公式(3),gm与Id呈现开根号的关系。
2、在设计的过程中,MOS管的W/L是可以调整的,这个时候我们可以固定Vgs-Vth,通过调整W/L来调节Id,此时gm就与Id就是正比关系了。
上一篇:基于模拟的通用可组合安全
龙腾半导体SGT MOSFET LSGT085R018在智慧农业无