时间:2023-09-18 17:01
人气:
作者:admin
1. 差模与共模输入
前一章我们讲过差分放大器的概念,差分放大器只放大两个输入信号的差值,而不放大其公共部分。这两个输入信号的差值,称为: 差模输入 (differential inputs),也叫:差分输入、差动输入,其表达式为:

(注意我们用的都是交流相量的符号形式,以下同。)
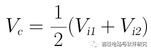
事实上,由于实际的运放器件内部是由非理想的BJT或FET元器件构成,因此,对于两个输入信号的公共部分,也会有非常微小的放大。为评估这个公共部分对输出的影响,我们定义: 共模输入 (common inputs)为两个输入信号的平均值,表达式为:

实际的运放,会对差模输入信号和共模输入信号进行不同程度的放大,对差模信号放大的倍数称为: 差模放大系数 (defferential gain),记为:A d ;对共模信号放大的倍数称为: 共模放大系数 (common-mode gain),记为:A c 。因此,运放的实际输出的表达式为:

由于存在共模放大系数,因此即便像下图这样的接法(差模输入为0),运放的输出端也是会有输出的:

图9-01.01
一般我们希望运放的差模放大系数Ad越大越好,而共模放大系数Ac越小越好,因此,人们定义了一个参数来评估这两个系数的相对大小,称为: 共模抑制比 (common-mode rejection ratio),表达式为:

由于共模抑制比的数值通常比较大,因此用分贝(dB)单位来表示。
上一篇:电路示意图基础知识介绍
龙腾半导体SGT MOSFET LSGT085R018在智慧农业无