时间:2023-09-19 09:12
人气:
作者:admin
什么是跨阻放大器?
首先定义跨阻放大器是什么。对于上下文,我们来看一个示例电路。
(a)(b)
图1。(a)基本IV转换器或跨阻抗放大器(TIA)。(b)实际实现,显示与运算放大器的反相输入引脚相关的杂散电容Cn。
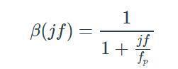
图1(a)的电路 接收输入电流Ii并将其转换为输出电压V o。它被称为IV转换器,具有多种应用,其中两个突出的应用是光电二极管前置放大器和电流输出数模转换器(DAC)的缓冲器。为了找到V o和I i之间的关系,我们使用欧姆定律来写V o - V n = RI i,并使用运算放大器定律写V o = a(0 - V n) = -aV n,其中a是运算放大器的开环增益。消除V n并求解比率V o / I i,我们得到闭环增益:

公式1
在理想的运算放大器限值A→∞,我们有A→Aideal = R 。由于A具有伏特/安培或欧姆,这是阻抗的尺寸,A恰当地称为跨阻抗增益,并且该电路也称为跨阻抗放大器(TIA)。如图1(b)所示的实际TIA 还包括杂散电容C n,其由寄生电容组成加上提供I i电流电路的寄生电容(通常是光电二极管或电流输出DAC)。根据应用不同,C n通常为10pF至100pF或更高。无论如何,C n倾向于使TIA不稳定是一个共同的原则,因此设计师的任务是采取适当的措施来稳定电路。
杂散电容不稳定性:闭合率
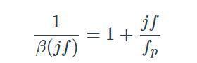
让我们用闭合率(ROC)研究C n的不稳定趋势。为此,我们将输入源设置为零,如图2(a)所示断开环路,施加测试电压V t并计算反馈因子β(j)为

(a)(b)
图2。(a)求反馈因子β(jf)。(b)关闭率(ROC)接近40 dB / dec。(这里,a0是DC增益,b带宽和t过渡频率)。

公式2
这很容易放在表中

公式3

公式4
物理上,C n和R在反馈回路内建立极点频率。因此,围绕环路传播的信号将必须与两个极点竞争,一个是由于运算放大器而另一个是由于C n,存在相移接近180°的风险并因此危及电路稳定性。我们可以在图2(b)中更好地看到这一点,这显示了开环增益的曲线图 |a|和反馈因子的倒数| 1 /β(j) |,其中

公式5
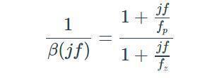
β(j)的极点频率 p的是零频率1 /β(j),表明|1 /β(j)| 曲线开始上升 p。如果 p与交叉频率 X相比足够低,ROC将接近40分贝/ dec,表示相位裕度趋近零。用于对抗由C n引起的相位滞后的常见解决方案是通过R上的反馈电容C f引入相位引线,如图 3(a)所示。

(a)(b)
图3(a)通过C引入的相位引线抵消由于Cn引起的相位滞后。(b)中强加=p为相位裕度φm≈45°。
等式(2)仍然成立,使用[R与Z(j)= R || [1/(j2πC )]替换R。经过一些代数运算后给出了

公式6

公式7
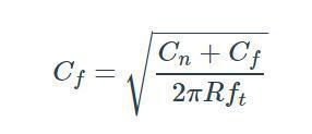
需要注意的是 为β(j)创建一个零频率 ,也降低了现有的极点频率 p(β的极/零点变为1/β的零/极点)。一个易于可视化技术指定 以便将 定位在 X处,如在图 3(b)中。这将ROC从大约40dB / dec降低到大约30dB / dec,从而确保相位裕度约为45°。为了找到所需 ,我们注意到从图 3(b)中该 等于p和ft的几何平均值,即 = ( p × t)1/2。使用方程(7)的表达式并简化得到

公式8
这个跨阻方程很容易通过迭代求解,如下所示。
光电二极管前置放大器示例
图4的电路代表光电二极管前置放大器,例如用于光检测和测距(LiDAR)的那些。

图4具有用于相位裕度φm≈45°补偿的光电二极管前置放大器。
入射光使光电二极管吸收小电流(高达几微安),然后运算放大器转换为可用电压。假设运算放大器具有10 MHz的恒定增益带宽积,并假设总杂散输入电容(二极管的结电容与运算放大器、电路元件和电路走线的杂散电容之和)为50 nF。的值通过方程式(8)得到。从假设C = 0开始,得到

迭代为 = [(50 + 0.892×10 -12 /(2π10 6 ×10 7)] 1/2 = 0.900 pF。另一次迭代再次给出0.900 pF,所以我们停在这个值。接下来,让我们通过PSpice验证我们的发现。使用图5(a)的电路得到图5(b)的曲线 。

(a)(b)
图5(a)对于图4的TIA,PSpice电路绘制|a|和|1 /β|,(b)未补偿(C= 0)和补偿(C= 0.9 pF)情况|1/β|的曲线。
在未补偿情况下,我们测量 X = 178.4kHz,并且相位角ph [ a(j X) ]≈-90°和PH [ 1 /β(j X)]≈89.0°,因此,相位裕度是

公式9
表示一个几乎振荡的电路。对于补偿情况下测量 X = 224.8kHz,并且相位角ph [a(j X) ]≈-90°和PH [ 1 /β(j X) ]≈37.4°,因此,相位裕度是现在φm = 180 - 90 - 37.4=52.6°,比所需的φm = 45°好一点。图6的闭环瞬态响应证实了上述发现。在没有补偿的情况下,电路会产生缓慢衰减的振荡,而补偿会显着地抑制振荡(0.9 pF电容可以做到)。

(a)(b)
图6(a)PSpice电路绘制图4的TIA的阶跃响应。(b)未补偿(C= 0)和补偿(C= 0.9 pF)情况|1/β|的曲线。
补偿响应仍然表现出一些振幅,AC响应(如下图8所示)表现出一些峰值。为了消除峰值,φm必须提高到65.5°,为清除振幅它必须被提高到76.3°。将φm提高到45°以上将导致在图7中所示情况。

图7线性化图,显示φm>45°时的1/β曲线。
使用图图5(a)中的PSpice的电路,我们通过试验和误差发现的所需的值 如下:对于φm= 45.0°使用 = 0.738 PF和得到 X = 209kHz;对于φm= 60.5°使用 = 1.098 PF和得到X = 248kHz;对于φm= 73.3°使用 = 1.606 PF和得到X = 326kH。相应的闭环响应如图8所示。

图8.图4电路的闭环(a)交流响应和(b)瞬态响应。
像往常一样,增加相位裕度的代价是降低交流带宽和降低瞬态响应。
使用电流反馈放大器(CFA)的TIA
杂散反相输入电容对基于电流反馈放大器(CFA)的 TIA也有不稳定作用,如图9所示。

(a)(b)
图9(a)基于CFA的TIA以及(b)约为45.0°相位裕度的补偿。
对于φm≈45.0°所需的反馈电容是
公式10
TIA使用T-Networks
如方程(1)所讨论的,跨导增益在极限a→∞时是Aideal = R。有些应用要求R值比1 MΩ高很多,这些值可能在物理上是不切实际的。围绕这个难题的一个常用技巧是在运算放大器输出和反馈电阻R之间插入一个分压器 R 1—R 2,如图 10(a)所示。
(a)(b)
图10(a)具有T-network的TIA。(b)在分压器降低从有效转变频率t到t/(1 + R2/R1)。
理想情况下,三个电阻共用的节点处的电压RI i。运算放大器然后根据非反相配置的增益表达式放大此电压,在这种情况下,1 + R 2 /(R || R 1),所以
公式11
实际上阻力乘以一个因子
公式12
根据所示的分量值,m= 1 + 9/1 + 9×10 3 /10 6 ≈10,所以我们正在实现Aideal= 10 7 V / A,物理电阻仅为106Ω。如图 10(b)所示,分压器将基线从0 dB移至+20 dB。图3(b)比较表明,我们现在正在处理的有效过渡频率t/ 10,或1MHz。等式(8)仍然成立,为ft提供1MHz,所以是10 1/2倍。对于φm≈45°我们计算C f = 0.900×10 1/2 = 2.85 pF。通常,通过反复试验发现图11(a)中所示的C f = 2.26 pF 的更精细值。
(a)(b)
图11用T网络模拟TIA。使用试验和错误来求c为φm= 45°。
实际考虑
上述示例表明C f的值相当小,通常在皮法拉或甚至亚皮法的范围内。这样小的值可证明在物理上是不切实际的,因此我们从一个更实际的值开始,如 = 10pF,然后我们迫使运算放大器来驱动经由分压器按比例下降到(较小的)期望值。图12描绘了φ m = 45.0°的情况。
(a)(b)
图12.(a)用电容分压器R1-R2模拟TIA。(b)|a|的图和|1/β|后R2一直微调为φm= 45°。
如前所述,这需要0.738 pF的有效电容,因此我们需要施加

如果R 1 =1kΩ,我们需要R 2 =12.6kΩ。从这个值开始,然后通过试验和误差对其进行微调,以达到φm=45.0°,最后得到11.4 kΩ的值,如图12所示。显然,分压器通过电阻调谐提供电容调谐的额外优势。图12b还显示了|1/β|的高频上升曲线,但如果我们设法将其保持在X以上,这是不合理的。我们通过施加R1||R2<
龙腾半导体SGT MOSFET LSGT085R018在智慧农业无