时间:2023-09-20 16:52
人气:
作者:admin
使用SBC ToolBox云平台时间序列分析模块探索基因集在不同时间点的表达趋势,使用c-means算法对基因集进行聚类分群,寻找出表达趋势一致的基因集。SBC ToolBox云平台超快响应,分分钟获取分析结果。
如何使用SBC ToolBox云平台进行时间序列分析?
进入时间序列模
a)登录SBC ToolBox官方网址
进入VIP专区,点击时间序列分析模块即可进入App。

b) 也可以直接登录站点

c) 此模块仅提供给VIP用户,已有账户直接登录,没有账户这里可以点击注册申请,申请审核通过后会邮件和短信通知VIP注册用户。
实战
a)数据准备(数据分析思维->充分认识数据):
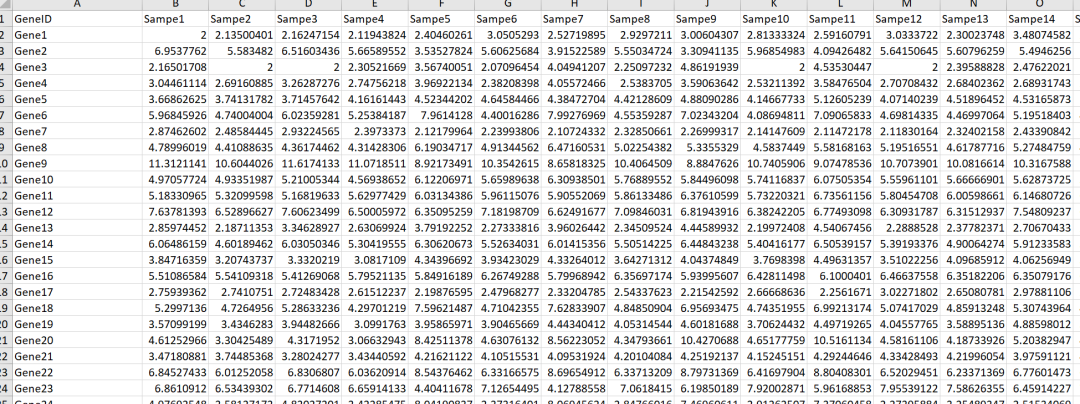
i.定量数据:无论你的数据是RNA定量数据、蛋白定量数据、代谢定量数据、还是其他类型的多特征集多样本量数据,时间序列分析模块都能完美驾驭。时间序列模块所需的定量数据一般长这个样子;第一列为基因集(特征集),剩余列为样本(观测值)对应基因集的定量数据。

ii. 分组数据:无论你的时间点组内数据有重复样本,还是没有这里都需要提供,主要用于重复数据在组内的集中趋势评估,分组数据示例如下图。

1.第一列为样本信息,样本信息与定量的样本信息必须一致。
2.第二列为样本对应的分组信息,这里的分组一般是时间点,时间点的顺序决定了展示在时间序列趋势上的排列顺序。
3.示例数据详见应用操作指南:

b) 数据准备完成,提交分析:
i. 将定量数据和对应分组上传或者拖拽至App数据上传接口(下图红框),上传完成显示Upload complete,提交分析,看到主页面上的小花花开始转动表示已启动分析。

ii.眨眼的功夫,时间序列分析结果就展示在你的面前,没办法,SBC ToolBox响应就是这么迅速。

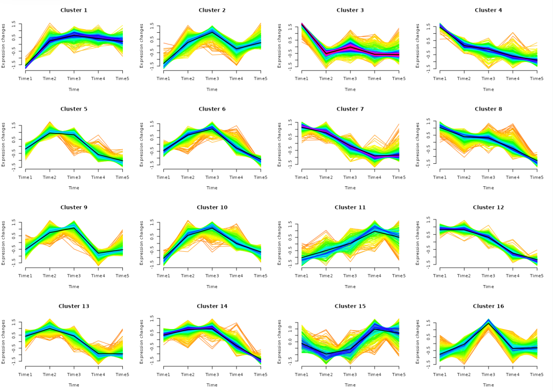
iii.分析结果,默认情况下基因集(特征集)在不同时间点上的表达趋势将会被分成16个Cluster,此处对Cluster数量不满意可以随时进行调整。横坐标表示时间点顺序,纵坐标表示基因集在时间点上的表达强度(这里做过中心化(scale)处理)。

iv.放大Cluster1观察细节,Cluster1基因集整体表达随时间变化呈现先上升后轻微下降的趋势。图中横坐标展示每个时间点,一条线代表一个基因的在时间点表达趋势,黑色的先表示整体的集中表达趋势。

c) 参数调整:
i. 注意事项。
时间序列模块默认会对定量数据进行log2(x+1)变换,你的数据做过标准化预处理,这里可以下拉菜单选择“否”取消log2(x+1)变换处理。

ii. Cluster数量太多或者太少,这里可以调整Cluster数量进行设定重新分析。

这里重新设定总共Cluster为9,重新提交分析,将原来的16个Cluster调整为9个Cluster,结果如上图所示。
iii. 结果展示行列排列不满意,这里同样可以调整。

d) 没有重复数据同样也可以进行时间序列分析,示例如下:
i.定量数据(六个样本)示例:

ii.分组数据(将六个样本设置为6组,六个时间点)示例:

iii.上传数据提交分析,秒出结果:


不同基因集在六个时间点上的表达趋势。
结果保存
a)保存图片,默认保存pdf格式:

b)保存基因集数据,第一列为基因,第二列为基因集对应Cluster,剩余列为基因中心化后的数据,此文件可用于ggplot展示。
教你使用SBC ToolBox
一键完成趋势线图展示美化
a)登录平行坐标图模块

b)准备数据
i. 将时间序列数据分成两个文件:
1.基因对应时间点表达强度文件,这里只需要删除时间序列结果中的cluster列即可。

2.基因集对应Cluster文件,这里只需要保存时间序列结果中基因和基因对应Cluster列即可。

c)上传时间序列分析数据并提交分析,你就可以得到基于ggplot包的可视化结果,基于sci的颜色搭配,让你的数据展示更上一层楼。数据结果嗖的一下就能完成,立等可取。

d) 这里可以调整时下热门暗黑主题。

手里有数据不要慌,使用SBC ToolBox开启你的数据分析之旅,让数据分析so easy。
审核编辑:刘清
下一篇:为什么齐纳二极管可以做稳压管?
龙腾半导体SGT MOSFET LSGT085R018在智慧农业无