时间:2023-09-03 10:50
人气:
作者:admin
PCB板已经从板厂打样回来,然而设计硬件方案非常仓促,并收到PCB之后并没有经过严格的计算。
通过简单的NTC电阻分压进行测量,不一定能满足体温检测的精度和分辨率的要求。
因此,在焊接样板的同时,需要花点时间进行理论分析,根据分析结果,进行手工修改电路以及程序的编写。
测量分辨率

分辨率是指测量仪器能够检测到被测量最小变化量的本领。
一般模拟式仪表的分辨率规定为最小刻度分格数值的一半。
数字式仪表的分辨率规定为最后一位的数字。
对于体温的检测,至少需要能检测到0.1℃的温度。

NTC阻值-温度关系
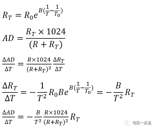
利用导数公式,我们可以算出AD转换值与温度之间的变化关系式,

AD转换数值与温度变化关系式
由上述公式中,可以知道,当R=RT时,分辨率最高。
从NTC厂家提供的资料中,可以得到,当R取30KΩ,采用10位的ADC时,ΔAD/ΔT=-10。
也就是说1℃的体温变化,可以产生10个AD转换数值的变化。
显示不能满足0.1℃的分辨率的要求。
为了保证精度,至少需要做到ΔAD/ΔT=-100。
即0.1℃的体温变化,产生10个AD转换数值的变化。

高精度NTC规格书
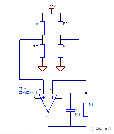
显然简单的分压电路是不能满足体温测量的分辨率要求。
需要改造成惠斯通电桥,并通过高精度运放进行信号放大。
其中运算放大器采用圣邦微电子的SGM8040-1,其工作电压可低至1.4V。
工作电流低至1uA。

改成电桥测量体温
电路优化
通过简单的数学计算,推导出采用NTC电阻分压进行体温检测无法满足分辨率和精度要求。
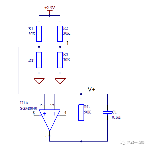
要文章的末尾,提出了采用惠斯登电桥,并采用低功耗轨对轨运放进行信号放大的改进方案。 在这篇文章中,我准备对该改进电路的详细参数进行推导计算。 如下图,

改进的体温检测电路
确认参数
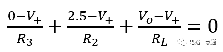
如下图,根据节点电流法计算流过节点1的电流,

改进电路以及参数 可以得到下面等式:

节点电流法 整理得到运放的输出电压Vo为,

输出电压表达式 根据上述表达式,可以分析得到,RL=90KΩ, R1=R2=R3=30KΩ时,NTC电阻RT在24KΩ-34KΩ之间变化(对应温度为34℃-42℃)时,V0可以得到0-2.5V之间的接近满幅度的变化范围,从而得到最大分辨率。 此时,NTC电阻阻值和输出电压V0之间的关系为:

NTC电阻值与运放输出电压关系表 此时,每℃温度变化可以产生50-80个AD转换值的变化。
编辑:黄飞
上一篇:热电偶是什么东西
龙腾半导体SGT MOSFET LSGT085R018在智慧农业无