时间:2023-08-28 16:28
人气:
作者:admin
结电容的存在使得基极电流ib被旁路。从而使得真正流过发射结的基极电流ib′减小。而只有真正流过发射结的基极电流才会被放大。
频率越高,结电容的容抗就越小,则结电容的旁路作用就越显著,晶体管的电流放大倍数β就越低,放大器的增益就越低。
今天我们来学习运放使用时高频增益的制约因素!
一、 结电容与结电容的影响
在前面几篇我们知道,运放的两个输入端其实就是两个三极管的基极,那么肯定会存在结电容。这也是制约高频增益的因素之一。

结电容的存在使得基极电流ib被旁路。从而使得真正流过发射结的基极电流ib′减小。而只有真正流过发射结的基极电流才会被放大。频率越高,结电容的容抗就越小,则结电容的旁路作用就越显著,晶体管的电流放大倍数β就越低,放大器的增益就越低。
放大器中的晶体管发射结必须处于正偏状态,集电结则处于反偏状态,故发射结的结电容远远大于集电结的结电容。表面上看起来发射结的结电容是高频增益下降的主要因素,但是实际上,集电结的结电容才是放大器高频增益下降的决定性因素。
对于共射放大器来说,集电结的结电容跨接在集电极与基极之间。而集电极往往是放大器的输出端,基极则是放大器的输入端。跨接在放大器的反相输入端与输出端之间的电容存在着一种特殊现象——密勒效应——而这是造成集电结的结电容成为制约放大器高频增益的决定性因素。
二、密勒效应

运放输入级是差分放大器。差分放大器在差动信号下的工作状态与共射放大器是等效的。
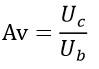
图中需要注意的是:基极电压Ub是输入电压、集电极电压Uc是输出电压。
故放大器的增益为:

还需要注意,共射放大器是反相放大器,故增益的表达式中存在一个负号。
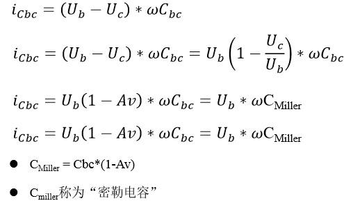
图中,流过集电结电容Cbc的电流iCbc为:
三、密勒电容
可以将电路改画如下。


即跨接在放大器输出端和反相输入端的电容,可以等效为输入端对地的电容,这个等效为输入端对地的电容容量为原电容的(1-Av)倍——这种现象称为“密勒效应”
总结

1.可以看到,放大器的电压增益Av越高,则等效的密勒电容越大。——所以,集电结电容往往成为制约放大器高频增益的主要因素。
2.等效到基极的密勒电容将与前级电路的输出电阻构成一个RC低通网络,从而限制了放大器的带宽。
3.由于集电结电容的寄生性存在,且又由于密勒效应,故放大器的电压增益与放大器带宽的乘积成为一个常数。——增益越高,则带宽越低,反之亦然。
4.当然,如果人为地在集电极与基极之间接入一个电容,将会人为降低该共射放大器的低通截止频率,即人为降低共射放大器的带宽。
5.所以,共射放大器和差动放大器都可以等效为一个理想的、带宽无限宽的放大器和一个RC低通网络的级联。
龙腾半导体SGT MOSFET LSGT085R018在智慧农业无