时间:2023-04-09 14:24
人气:
作者:admin
在很多应用中,模拟前端接收单端或差分信号,并执行所需的增益或衰减、抗混叠滤波及电平转换,之后在满量程电平下驱动ADC输入端。今天我们探讨下精密数据采集信号链的噪声分析,并深入研究这种信号链的总噪声贡献。
如图1所示,低功耗、低噪声、全差分放大器ADA4940-1驱动差分输入、18位、1 MSPS PulSAR ADC AD7982,同时低噪声精密5 V基准电压源ADR435用来提供ADC所需的5 V电源。此信号链无需额外驱动器级和基准电压缓冲器,简化了模拟信号调理,可节省电路板空间和成本。一个单极点截止频率2.7 MHz RC(22 Ω,2.7 nF)低通滤波器放在ADC驱动器输出和ADC输入之间,有助于限制ADC输入端噪声,并减少来自逐次逼近型(SAR) ADC输入端容性DAC的反冲。

图1. 低功耗全差分18位1 MSPS数据采集信号链
(简化示意图:未显示所有连接和去耦)。
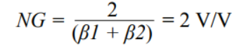
ADA4940-1用作ADC驱动器时,用户可以进行必要的信号调理,包括对信号实施电平转换和衰减或放大,以便使用四个电阻实现更大动态范围,从而不再需要额外的驱动器级。采用反馈电阻(R2 = R4)对增益电阻(R1 = R3)之比设置增益,其中R1 = R2 =R3 = R4 = 1 kΩ。
对于平衡差分输入信号,等效输入阻抗为2×增益电阻(R1或R3)= 2 kΩ,对于非平衡(单端)输入信号,等效阻抗根据下式计算,约为1.33 kΩ。

如果需要可以在输入端并联一个终端电阻。ADA4940-1内部共模反馈环路强制共模输出电压等于施加到VOCM输入的电压,同时提供出色的输出平衡。当两个反馈系数(β1和β2)不相等时,差分输出电压取决于VOCM;此时,输出幅度或相位的任何不平衡都会在输出端产生不良共模成分,导致差分输出中有冗余噪声和失调。因此,在这种情况下(即,β1 =β2),输入源阻抗和R1 (R3)的组合应等于1 kΩ,以避免各输出信号的共模电压失配,并防止ADA4940-1的共模噪声增加。
信号在印刷电路板(PCB)的走线以及长电缆中传输时,系统噪声会叠加到信号中,差分输入ADC会抑制信号噪声,并表现为一个共模电压。这款18位1 MSPS数据采集系统的预期信噪比(SNR)理论值可通过每个噪声源(ADA4940-1、ADR435和AD7982)的和方根(RSS)计算得到。
ADA4940-1在100 kHz时的低噪声性能典型值为3.9 nV/√Hz,如图2所示。

图2. ADA4940输入电压噪声频谱密度和频率的关系。
必须计算差分放大器的噪声增益,以便找到等效输出噪声贡献。差分放大器的噪声增益为:

其中

以及

是两个反馈系数。
应当考虑下列差分放大器噪声源:
由于ADA4940-1输入电压噪声为3.9 nV/√Hz,其差分输出噪声应当为7.8 nV/√Hz。ADA4940-1数据手册中的共模输入电压噪声(eOCM)为83 nV/√Hz,因此其输出噪声为

给定带宽条件下,R1、R2、R3和R4电阻噪声可根据约翰逊-奈奎斯特噪声方程计算:

其中kB是玻尔兹曼常数(1.38065 × 10 – 23 J/K),T为电阻绝对温度(开尔文),而R为电阻值(Ω)。来自反馈电阻的噪声为:

来自R1的噪声为:

来自R3的噪声为:

ADA4940-1数据手册中的电流噪声为0.81 pA/√Hz。
反相输入电压噪声:

同相输入电压噪声:

因此,来自ADA4940的等效输出噪声贡献为:

(RC滤波器之后)的ADC输入端总积分噪声为:

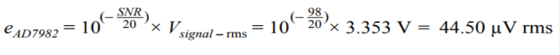
AD7982的均方根噪声可根据5 V基准电压源情况下的典型信噪比(SNR, 98 dB)计算得到。

根据这些数据,ADC驱动器和ADC的总噪声贡献为

注意,本例中忽略来自ADR435基准电压源的噪声贡献,因为它非常小。
因此,数据采集系统的理论SNR可根据下式近似计算


图3. FFT曲线图,fIN = 1 kHz,FS = 1 MSPS
(将ADA4940-1配置成全差分驱动器)。
AD7982在1 kHz输入信号时,SNR典型值为96.67 dB,THD典型值为–111.03 dB,如图3中的FFT性能所示。这种情况下测得的SNR为96.67 dB,非常接近上文中的96.95 dB SNR理论估算值。数据手册中98 dB的目标SNR的实际损耗由来自ADA4940-1差分放大器电路的等效输出噪声贡献所导致。
针对给定应用选择ADC驱动器以驱动SAR ADC时,噪声是一个重要规格,但详细查阅带宽、建立时间、输入和输出上裕量/下裕量以及功耗要求也很重要。
原文转自亚德诺半导体
龙腾半导体SGT MOSFET LSGT085R018在智慧农业无