时间:2023-06-20 14:28
人气:
作者:admin
1、
总的来看,IIR数字滤波器的设计方法有直接法和间接法。直接设计法通过零极点累试进行,根据
平面上零极点位置与频率响应的关系,通过不断尝试设计零极点的个数和位置来获取希望的频率响应。间接法中根据给定的技术指标,先选择低通滤波器逼近模型,然后设计相应的模拟低通滤波器,最后将模拟低通滤波器转换成数字滤波器(间接法是本章学习的重点)。
2、
滤波器设计之始,需要根据工程实际所需确定所设计滤波器的技术指标。
3、
模拟低通滤波器的设计:首先提出一个原型滤波器的幅度函数平方,根据技术指标确定滤波器的阶数并求出该原型滤波器的全部极点,取位于
平面左半平面的极点构成所求滤波器的幅度函数。常见的原型滤波器有巴特沃斯、切比雪夫、椭圆滤波器等。

4、
模拟低通滤波器转换为数字低通滤波器的方法如下:
脉冲响应不变法是把模拟滤波器的单位脉冲响应经过采样作为相应数字滤波器的单位脉冲响应。其
平面和
平面的映射关系为
。脉冲响应不变法的优点是数字频率和模拟频率为线性关系,即
,缺点是会产生频谱混叠,适用低通、带通滤波器设计。
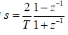
双线性变换法是为克服脉冲响应不变法的频谱混叠现象提出的,其将
平面上经过压缩和二次映射,完成
平面到
平面的单值映射,关系为
。双线性变换法的优点是不会产生频谱混叠,但却引入频率的非线性失真,即数字频率和模拟频率的关系为非线性关系,即
。

两种变换方法的特点可以用下图的思维导图展示:

5、
其他类型数字(高通、带通、带阻)滤波器的设计都要把给定的这些滤波器技术指标转换成相应的模拟低通滤波器指标进行设计,得到模拟低通滤波器后,经过频率变换转换为其它类型模拟滤波器,然后再映射成相应类型的数字滤波器。

上一篇:标准频带FIR滤波器设计
龙腾半导体SGT MOSFET LSGT085R018在智慧农业无