时间:2023-04-03 16:12
人气:
作者:admin
噪声是模拟电路设计的核心问题之一,直接影响了采样效率以及成本,过高的噪声会导致整个系统性能不佳、成本过高或者效率低下。受器件选择、电路设计以及环境因素的影响,使用运放搭建的放大电路的输出中都不可避免的含有噪声,评估放大电路的噪声水平是应用过程中的关键一步。运算放大器的等效输入噪声频谱密度如下图所示:

图1运算放大器等效输入噪声频谱密度[1]
高频下的噪声为白噪声(即其功率谱密度在频域上均匀分布)。这种情况适用于运算放大器的大部分频率范围,但在低频率条件下,噪声频谱密度会以3dB/倍频程上升。功率频谱密度在此区域内与频率成反比,所以电压噪声频谱密度与频率的平方根成反比。
因此,这种噪声通常称为“1/f噪声”[1]。电压噪声频谱密度指每平方根赫兹的有效(RMS)噪声电压(单位为nV/√Hz)[2],
若要计算有效噪声电压,则需要对目标带宽范围内输入噪声频谱密度曲线积分,计算公式为:

由于通过公式计算较为复杂,实际应用过程中通常使用近似计算,即:

等价输入噪声频谱密度的横坐标为对数坐标,K以上图形的面积实际上只有
的百分之一左右,只要截止频率远大于FC,通常可认为近似计算的有效噪声电压有99%以上的精确度。此外,电路中滤波器的选择也会对近似计算的结果产生影响,如下图所示,在截止频率附近滤波器会斩去一部分噪声,并让更多噪声通过;对于单极点滤波器,应在近似计算的基础上*1.57,随着滤波器阶数的增加,这个数字将越来越小;双极点滤波器为1.11,三极点滤波器为1.05,理想的砖墙滤波器则为1.00。

图2含滤波器电路噪声频谱密度示意图
|如何测量运放的等效噪声电压呢?
各大模拟芯片厂商产品的数据手册中,通常给出噪声密度曲线以便客户评估器件的噪声电能力水平。上面的介绍中着重讲解了如何通过数据手册中给出的数据计算出运放的等效噪声电压,那实际应用中该如何测量运放的等效噪声电压呢?
由于噪声具备统计学规律,峰峰值噪声电压是等效噪声电压的6.6倍,在示波器上我们能够观察到噪声的峰峰值,将其乘以6.6便可以得到运放的等效噪声电压。
噪声峰峰值为噪声有效值的 6.6 倍,这是因为白噪声在纵轴上满足正态分布。在正态分布中,±3☌的区间可以包容 99.7%的出现概率,而±3.3☌的区间可以包容99.9%的出现概率。这说明你要看到超过±3.3☌的事件,只有 0.1%的概率。因此,一般认为,在肉眼能够看到的最大值和最小值,一般不会超过±3.3☌,也就是不会超过有效值的±3.3 倍。下图绘出了噪声波形、有效值(近似为☌),以及峰峰值之间的关系[3]。
图3 噪声波形、有效值、峰峰值间的关系[3]
在全差分放大器中,噪声有着以下几种来源:
1.输入噪声电压Ein.2.两个输入端的输入电流噪声Iin+和Iin-.3.Vocm引脚的等效噪声电压Ecm.4.控制增益的电阻的等效噪声电压Er.5.差分输入噪声电压Eod.
将这五部分的值矢量相加即可得到输入噪声,乘以噪声增益即为输出噪声。
具体的噪声分析常用于仿真之中,实际应用中通过数据表中噪声电压近似求得等效噪声电压乘以6.6再与示波器观察到的峰峰值噪声电压进行比较,即可完成对于运放噪声的初步评估。
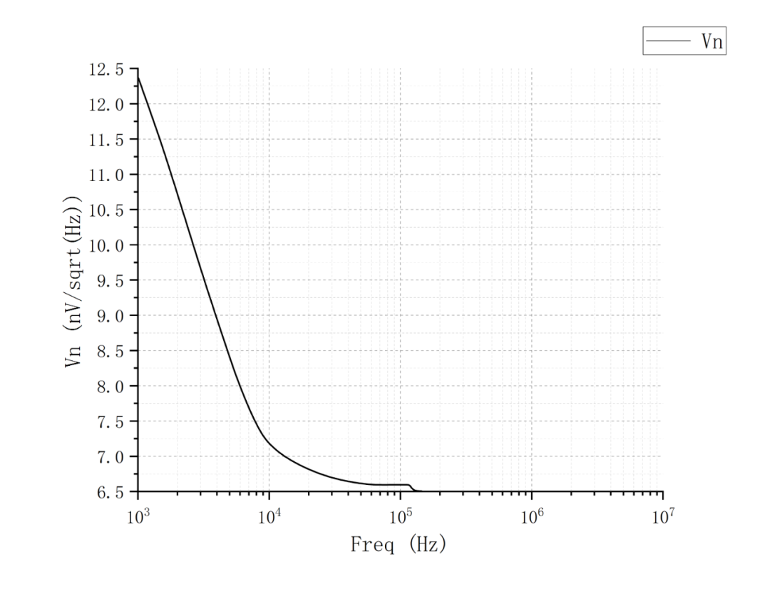
图4 Vn 3.3V
图5 Vn5V噪声是模拟电路设计的核心问题之一,直接影响了采样效率以及成本,过高的噪声会导致整个系统性能不佳、成本过高或者效率低下。乾鸿微HA1001E型高速差分放大器,噪声电压典型值5.5nV/√ Hz(10kHz),低的噪声电压有助于实现系统的高性能。
龙腾半导体SGT MOSFET LSGT085R018在智慧农业无