时间:2022-03-17 09:33
人气:
作者:admin
混频激光锁相
基于FPGA的四通道相位表及其在光学锁相环中的应用
精密测量系统通常需要较高的稳定性,以满足高准度与精度的测量。就如电压表需要用参考电压值进行校准,激光的频率与相位在精密系统中也需要与参考电压进行校准。在这个应用指南中,我们将展示通过混频锁频的方式将一个光学系统的稳定性延展到另一个光学系统。
光学混频锁相可以将一个系统的稳定性转移延展到另一个光学系统。这种方法经常被用在混频精密测量,自由空间光学通讯,以及光谱等应用当中。在这个应用指南中,我们将探讨如果使用数字相位表对两个激光进行混频锁相,并对其稳定性进行表征。
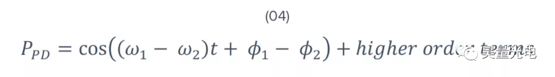
光学混频锁相可以被简单地理解成对两个主从激光器的相位进行测量,并通过闭环系统将所测量的信号对从激光的频率进行实时调整以达到锁相的效果。测量两束激光相对的相位差,可以通过将两束激光通过分光镜或干涉仪进行合并,并通过光探测器测量合并后的光强。合成后的电场,类似于混频过程,会产生一个与两束激光频率差相等的拍频。双速光合并后的功率可以描述为:

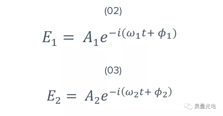
PPD和EPD表述在光探测器段的功率与电场。E1与E2 表述两束激光各自的电场。其中,

????1与????2表述两束激光的频率, ????1与????2表述两束激光的相位. 将等式(2)与等式(3)代如等式(1),得到:

其中,高频项(higher order terms)通常远超出光电探测器与测量仪器的带宽。虽然拍频信号本身包含了两束激光相位差信息,然而这个信息本身难以直接用于闭环系统的反馈信号。通常,一个单独的相位检测器会被用来获取相位差的信息,将拍频的交流信号转换成基频并输入给从激光反馈电路,以保证两个激光的锁相。一个最简单的相位检测器可以通过一个混频器与一个低通滤波器串联进行构建。图1展示了混频锁相系统的基本构成元件。

图1:混频锁相系统的基本构成元件
尽管混频器与低通滤波器组成的元件可以很好的对相位差进行解调,然而这种设置有着自身的限制。其中,它的检测范围仅限于半个周期内,而且只有在相位差接近为0的时候有着较好的线性响应。这使得这类相位检测器难以对波动范围较大的系统进行有效的反馈。而使用完整的锁相环(phase-locked loop, PLL)可以更有效地对这类系统进行调成。锁相环可以更好的获取其实拍频频率,并移除非线性响应所带来的一系列问题。

图2:锁相环的基本构成
在这篇应用指南中,我们使用Moku:Pro的相位表对两个非平面环振子(NPRO)激光机型混频锁相。其中,主从激光光束被一个分光镜合并,并在光电二极管上进行干涉测量。具体的设置如图3所示。光电二极管的信号连接至Moku:Pro的输入1。反馈信号通过Moku:Pro输出1连接到从激光的频率控制器。

图3:基于Moku:Pro的混频锁相系统设置
在开始锁相前,我们首先需要将拍频大致调节到Moku:Pro的工作频率范围上。我们通过改变热致动器将拍频大致调节到600 MHz以内。之后,通过Moku:Pro相位表的自动获取(auto-acquire)功能,或手动截获锁相频率。关于相位表的具体信息可以查询参考文献[5],或相位表用户指南。之后,可以通过调节反馈灵敏度(Scaling)来该改变控制器的反馈增益。通常,我们从一个较小的灵敏度开始,逐步增加增益,直到系统稳定。

图4:在Output中,通过’scaling’来改变系统的增益
在手动模式下,初始频率可用于调节混频锁相所需的频率。

图5:两台激光的拍频频率可以通过‘Channel’中频率选项进行调节
我们通过一台独立的Moku:Lab相位表对锁频的稳定性进行了表征。图 6 中展示了锁相前后,这套系统频率与相位在一分钟内的走向。可以看出锁相后,所检测到的拍频的频率与相位都得到了显著的提升。
图6:拍频频率(a)与相位(b)在锁相前(橘黄色)后(蓝色)的表现
之后,我们对所测得频率的时间序列进行频域分析,所得到的波幅密度频谱在图7中展示。整体频率的稳定性提高最高可达到四个数量级。相对频率可以在0.1 Hz及以上的区间内,可以达到1 Hz/√Hz的水平。

图7:锁频前后拍频波幅密度频谱
结论
混频激光锁相是一种有效控制主从激光相对频率差的方法。基于锁相环的相位表提供了更好的检测范围和更好的线性响应。Moku:Pro基于锁相环的相位表最多可提供四通道的相位检测器。通过实验,我们测的Moku:Pro将两台激光的频率以82 MHz的频率混频锁相,得到了好于1 Hz/√Hz的稳定性。
参考文献
[1] Schünemann, U., H. Engler, R. Grimm, M. Weidemüller, and M. Zielonkowski."Simple scheme for tunable frequency offset locking of two lasers."Review of Scientific Instruments70, no. 1 (1999): 242-243.
[2] Bell, S. C., D. M. Heywood, J. D. White, J. D. Close, and R. E. Scholten. "Laser frequency offset locking using electromagnetically induced transparency." Applied physics letters 90, no. 17 (2007): 171120.[3] Thorpe, James I., K. Numata, and J. Livas. "Laser frequency stabilization and control through offset sideband locking to optical cavities."Optics express16, no. 20 (2008): 15980-15990.[4] Hsieh, Guan-Chyun, and James C. Hung. "Phase-locked loop techniques. A survey."IEEE Transactions on industrial electronics43, no. 6 (1996): 609-615.[5] Shaddock, D., Ware, B., Halverson, P. G., Spero, R. E., & Klipstein, B. (2006, November). Overview of the LISA Phasemeter. In AIP conference proceedings (Vol. 873, No. 1, pp. 654-660).American Institute of Physics
上一篇:LoRa网关在智慧农业应用
龙腾半导体SGT MOSFET LSGT085R018在智慧农业无