时间:2023-06-19 11:21
人气:
作者:admin
我们当然希望LDO的输出准确、负载(电流)变化时能够快速响应。
像图2所示:

这是传统结构,该结构的响应时间受限于feedback loop delay反馈环路延迟,即,当负载电流从空载到重载时,Vout上被Iload下拉,反馈环路要工作,防止Vout继续下降,这段时间就是TR,叫做Load response time,这几个变量之间的关系表示为:

如图2(a)结构,我们常常要考虑环路的稳定性,从而限制了loop bandwidth,所以TR时间约1~3us。
保守设计decap电容1.46nF,△I为24mA,这么计算下来,要想△V在10mV以下,TR需要低于610ps。
-->10mV****的设计要求算是很苛刻了,比如我们实际上允许 0.1V ,那么TR计算约为 6.1us 。
我们看有哪些方式可以实现ultra-fast load regulation。

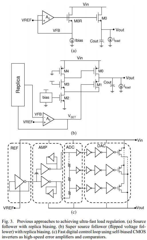
图 3(a) 原型来源于 2005 , Area-Efficient Linear Regulator With Ultra-Fast Load Regulation.


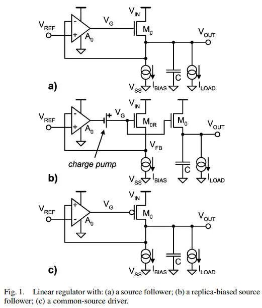
直接采用source follower(图1(a))利用传输管M0源端的低阻抗特性达到fast load regulation,缺点是低电源电压下,VG的headroom不够。
图1(b)做了个charge pump提升输出NMOS管的栅压,这个M0R通路不去观测VOUT输出波形,load regulation只依赖于M0管的I-V曲线,90mV的△V对应于Imin和Imax比值约1:10.

这里又引用了 1998 Embedded 5V-to-3.3V Voltage Regulator for Supplying Digital IC's in 3.3V CMOS Technology 。


你觉得****C1 是什么作用? 180pF 。
比如这里要求输出最大偏差±300mV=600mV。包含两个部分1)control part; 2)输出的variation。分配给前者200mV,后者400mV。而输出400mV的偏差又来源于两个部分,首先是取决于M1尺寸的Vgs偏差,其次是输出OUT经M1的Cgs耦合后在VG上的偏差。
减小输出节点到M1栅端的coupling。
C1和M1占据了整个LDO的面积,C1做的越大,VG上的ripple就越小。M1就可以不用做的太大;
C1做的越小,VG偏差大,留给M1的Vgs余量小,也就是说M1就需要做很大了。
这里C1和M1的面积存在折中。
200uA的偏置电流Imin,100mA的负载电流Imax,400mV最差动态偏差(140°C),那么就需要W/L位14000um/0.5um, C1为180pF。这个时候M1的栅端VG电压为4.5V高压,不过没有关系,这是3.3V的工艺。M1采用最小尺寸,工作在Weak inversion区,最大化gm/I。The typical large-signal output resistance for these dimensions is about 3Ω。
这篇文章handle the maximum specified peak load currents针对的是负载电流的“峰值”。我们都知道Peak load currents in digital circuits can be much larger than the average current而峰值通常远远大于平均电流。
对于图4电流,需要一个start-up circuit is required for pre-charging VG in order to initialize circuit operation.启动电路来初始化输出。
为什么使用 Replica Feedback ?
不直接去sense输出电压,而是复制了一个通路。版图上,the replica transistor is located at the center of the output power transistor array.
"Replica"通路保证输出工作在dc工作点附近,保证环路不直接受负载电流影响。

从图5看出来,使用"replica"通路,纹波改善了一半。
这种结构的设计要点还包括:
再回到2005那篇 paper ,对super source follower结构的输出阻抗的小信号分析,可以学习一下。

空载,偏置电流流过M4和M0,M2关断,M0管流过small bias current。
当负载电流增大,VOUT电压掉落,M4关断,电流流过M2的源端,拉低M0的栅端电压,使M0导通更多,电流从VIN到VOUT去补偿整个droop。
这里不考虑CDIE情况下,输出阻抗表现为单极点:

也就是说,the decoupling capacitor is not required to make the P-stage stable.
这里输出阻抗可以建模为电阻R和电感L的串联,其中:


我主要想讲的是图 4 ,基于CMP比较器结构的 REGULATOR 。

在这里,the propagation delay of the comparator determines the load response time即,比较器的传播延迟决定了所谓的负载响应时间。
然后这里又讲了一个基于CMP结构的REG的缺点: self-generated output ripple 。
从图4(a)和(b),a fast comparator is desirable not only to achieve a small value of TR but also because of its effect on the output ripple.比较器速度越快,负载响应时间TR越快,输出节点纹波越小。
接下来说一下 Distributed Regulator System 。

比如在DDR3 I/O应用下,文章提取了Vout电源网络的RC模型,如果只使用一个 REGULATOR ,在最大负载电流下, IR****上的压降高到 24mV 。 采用了分布式设计,这个IR drop可以将位2.4mV。分布式设计/布局的另一个好处:power dissipated in the passgates is more evenly spread across the chip。
当然,这种分布式设计也是有问题的,叫做Load Sharing Problems.
后面的就是提出解决方案,Dual-loop结构。

最后回到2018年的这篇针对于NAND里LDO设计的最新文章,可谓是非常有趣,而我只能读懂一点点。。。

输入电源电压 2.3-3V , LDO**输出 2.1V , 20ns响应150mA负载电流,输出droop**为 225mV 。静态电流功耗 81uA ,片上输出电容 2nF 。

怎么去提高输出传输管栅端的SRgate?
要么费功耗ISR,要么减小Cgg,不好弄。。。
这里结合了基于AMP和基于CMP的LDO结构,提出了两者结合的设想:

单单采用基于AMP结构,只能增加Ibias电流了,如果不然,像图1(a)所示,Vout droop会很大;
单单采用基于CMP结构,虽然不存在稳定性问题,但是这个结构我们之前也从引用的文章里看出,他有自己固有的纹波;
两个结构结合,基于AMP结构工作在稳态,保证精度;基于CMP结构提供快速的响应速度,在steady state下并不work,所以不存在intrinsic output ripple了,如图3。


...In other words, CMP-based LDO assists AMP-based LDO to minimize ΔVout only during the transient state, in which AMP-based LDO does not yet regulate Vout...注意AMP和CMP工作区间以及这里△VREF。
虽然CMP在稳态时不工作,但是考虑到负载瞬态响应,我们需要把比较器的传播延迟降到最小,不然的话,△Vout又增大了。

重新给出the duration time from the point at which Vout drops to that at which it stops is called the response time of Vout...TR的表达式:

基于AMP结构的LDO,我们当然期望传输管的Vgate能降到一定电压,使MPa产生足够大的电流补偿Iload,Ipa快速的接近于Iload。

△Vgate是Mpa栅端的变化值。看图4(a),TR=Tgate。

对图4(b)来说,TR取决于CMP的传播延迟和栅驱动电路gate driver。

Tdelay是ns级,比Tgate快多了。
△ Vref****有什么用?
用来分立AMP和CMP的操作。
比如如果Vref_d和Vref_a非常接近,AMP和CMP同时工作,就会带来前面讲的intrinsic output ripple。为了防止CMP的self-oscillation,这里选择△Vref should be larger than the magnitude of transient output ripple in order to ensure that CMP does not respond to Vripple in the steady state...AMP和CMP基准电压比较点的差值△Vref至少大于输出的纹波Vripple。
图5是结构非常复杂的LDO整体图。

这种高端的方式怎么去确定△ Vref****的值?这个值太大或太小有什么问题?

ICMP1取10uA,10uA电流通过7kΩ电阻,产生的压降是70mV;反之,开关全闭合后,电阻为0,见图5左下角表格。
图6告诉我们△Vref的calibration和AVC的实现方式。

1->首先,B[0]~B[2]默认值111,△VREF最大70mV,将AMP和CMP两种方式明显隔开;
2->△Vref calibration开始,Vref_d从最接近Vref_a的配置000开始,比较器开始bang-bang控制,△Vref控制单元去记Vcmp的震荡周期,每64个周期的下降沿产生一个短脉冲Vup。B[0]~B[2]呢,在Vup脉冲处加1,直至Vref_d离Vref_a够远,CMP环路不再工作,Vcmp的震荡也结束,这就是...the minimum value at which the operation of CMP-based LDO can be separated from that of AMP-based LDO in the steady state...两个环路基准电压比较点的最佳差距。
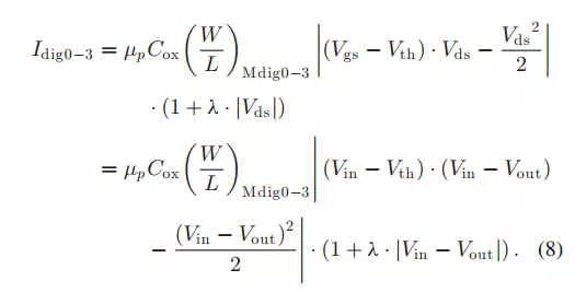
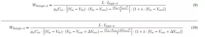
由于电源电压变化范围在2.3V~3V,Idig变化范围也很大。图5中的DPGC电路通过控制Mdig的尺寸大小提供不变的Idig电流。
图7给出DPGC实现线路:

2位ADC检测电源电压Vin水平,输出结果经温度编码控制Mdig的尺寸。
工作在CMP模式下的Mdig处于线性区,应用线性区的管子工作I/V关系式和VIN/VOUT值可以理论计算Mdig的尺寸。


按照修正的式(10)进行理论计算,跟仿真非常接近。
龙腾半导体SGT MOSFET LSGT085R018在智慧农业无