时间:2023-04-30 14:25
人气:
作者:admin
最近有点小忙,好几天没有更新,实在是对不住,今天,肝到再晚,也要更新一下。
开始今天的主题,运算放大器的同向放大原理及应用。
首先,我们先温习一下运放的理想特性:
在多数的常规设计中,我们使用运放的理想模型,忽略其内部结构。把它当作一个 “具有放大作用的元件”,接上电源,便可以让它发挥放大的作用。所谓理想的运放,它的输入阻抗无穷大,输出阻抗为零。
理想的运放电路分析有两大重要原则贯穿始终,即“虚短”与“虚断”。“虚短”的意思是正端和负端接近短路,即 V+ = V-,看起来像“短路”;“虚断”的意思是流入正端及负端的电流接近于零,即 I+ = I- = 0,看起来像断路(因为输入阻抗无穷大)。
下面分析运放电路的时候,需要用到上面的理想运放特性。
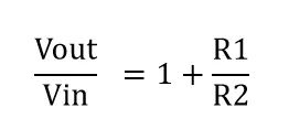
下面这张图,是将输出电压引到运放的负输入端,也就是引入了负反馈电路。我们一起分析一下,他的输入和输出电压的关系。

首先,根据运放的 “虚短” 特性,其 V- = V+ = Vin。
运放在工作的时候,会快速自动调整Vout,使 Vout 经过 R1 和 R2 电阻分压后的电压,也就是 V- 的电压等于 V+, 根据串联电阻分压计算公式得出:

由于 Vin = V- , 所以得出:

想要求出运放的放大倍数,就需要计算一下 Vout / Vin :

这个就是运算放大器同向放大倍数的计算公式。
相信很多小伙伴,都知道白光 T12 焊台,电源做的好的话,3 秒化锡不成问题。经常自己焊接电路板的话,不能少了这个好用的焊台工具,喜欢动手的小伙伴,完全可以根据网络上开源的电路图,自制一台白光焊台,感兴趣的,可以自行搜索。
首先,了解一下 T12 烙铁头的结构,他的热敏电偶和加热丝,是串联的,也就是 T12 烙铁头,只有两根线,加热和测温,不能同时进行。

下面,我们就截取白光 T12 焊台烙铁头温度信号放大部分电路图,一起分析一下。

根据运放同向放大倍数计算公式,可以计算出,此处温度信号放大倍数:

经过放大之后的电压值,通过 MCU 进行采集,就可以进行 T12 烙铁头温度的闭环控制了。其实,白光 T12 焊台的工作原理,就是这样的。
**Tips: **想要进行 T12 烙铁头温度的精确控制,就需要有实际温度值和烙铁头热电偶电压的对应曲线,这个需要有设备进行测试,不过也可以去网上搜索,进行参考。
上一篇:运算放大器的应用讲解(三)
下一篇:激光二极管中的像散差是什么
龙腾半导体SGT MOSFET LSGT085R018在智慧农业无