时间:2023-03-23 09:35
人气:
作者:admin
MOSFET管驱动包括:DSP 发波,与门SN74HC08DR组成的硬件复位电路,驱动芯片IR21814驱动电路几个部分,对于DSP发出的PWM波其死区是靠程序决定,并且死区误差可以不计。与门SN74HC08DR的转换延时如下表。

表1 SN74HC08DR的传输延时
所以经过SN74HC08DR后,死区时间为:

其中:

为DSP设定死区,

为上升沿传输延时,

为下降沿传输延时。
VCC = 3.3V,工作温度-40℃~75℃,所以经过SN74HC08DR后,死区会减少约10~20nS。
所用的IR21814驱动电路如下图所示:

图1 IR21814驱动电路
我们不考虑电阻,电容偏差带来的延时误差,所以驱动电路对死区时间的影响主要是IR21814的驱动上升延时和下降延时的偏差,如下图1所示。

图1 IR21814驱动延时

图2 IR21814驱动延时
如下图所示,考虑功率管的安全关断电压为0~2V,从IR21814一个功率管关断到另一个开通的标准时间差:

最大时间差为:

而其次,功率管还存在开通和关断延时,如下图所示。

图3 SPP20N60C3 驱动延时
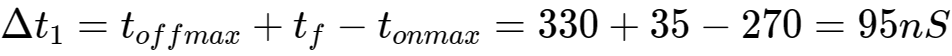
所以,功率管驱动开通和关断延时标准偏差为:

开通和关断延时最大偏差:

所以如果仅从设计上考虑,功率管的驱动安全死区:
10nS + 95nS + 98nS = 203nS
必须保证大于:60nS + 56.5nS = 115.6nS
以往项目的死区多设置在150~190nS,都比计算的安全死区时间小,根据器件专家反馈,象IR21814和SPP20N60C3这类器件,实际上取到厂家给定最大参数的概率是非常低的。
模块原来死区时间设置为190nS时,测量到功率管驱动死区时间如下图所示,以3V为功率管安全关断电压时,死区时间大于166nS,如果以0V电压为绝对安全关断电压时,死区时间如图8所示,有116nS,

图4 上管导通和下管关断时死区

图5 上管关断和下管导通时死区

图6 上管关断和下管导通时死区
以上是(Vg1为Q120的驱动电压,Vg2为Q121的驱动电压)
龙腾半导体SGT MOSFET LSGT085R018在智慧农业无