时间:2023-03-20 10:06
人气:
作者:admin
稳压二极管,也称齐纳二极管,属二极管系列中的一种。它的主要特性是PN结工作在反向击穿区并表现出具有稳定电压的特性。既然属于二极管,那它也具有二极管的正向导通特性。
稳压二极管的正向导通特性与普通二极管的正向导通特性是相同的,规格书一般也都会给出正向导通参数,比如正向导通电压
。但不一定给出所有的正向导通参数,如正向持续电流
。不过我们可以利用规格书给出的其他参数计算出来,
。

稳压二极管的反向特性与普通二极管的反向特性有较大的差异。
普通二极管的反向特性是当其反向电压超过最大值时将会击穿二极管造成永久性损坏,而稳压二极管则不会,它是采用特殊工艺制造的二极管,当反向电压增大时,只要其反向电流没有超出最大值,稳压二极管就不会损坏,并且该反向电流在的较大范围内稳压二极管都稳定在标称电压值上。

当然这个标称电压值的稳定是相对的,它有一定范围的波动。这是因为稳压二极管的稳定电压是随电流大小变化而变化,虽然变化范围很小。因此,在一些基准电压电路上,都会给稳压二极管提供一个稳定的反向电流,比如恒流源。

主要参数:

1)
稳定电压
指在规定的电流下稳压二极管的稳定反向击穿电压值。由于一致性问题,稳压二极管在规定电流下的稳压值并不完全相同,而是一个范围。稳压二极管的反向电流越大,其稳定电压值就越稳定。
2)
稳定电流
指稳压二极管标称稳定电压对应的测试电流。稳压二极管的反向电流既有最大值也有最小值,稳压二极管只有工作在这个范围内才能输出稳定电压。其中,最小值是指稳压二极管正常工作稳定电压的最小电流,如低于最小值时,稳压二极管的电压将不稳定并且小于标称稳电压;最大值是稳压二极管能够承受的最大反向电流,超过最大值稳压二极管将会过热而永久性损坏,最大值与耗散功率有密切关系。
3)
动态电阻
指稳压二极管两端的电压变化与反向电流变化的比值,
。这个参数是稳压二极管辨别性能的一个重要指标。动态电阻越小,稳压性能越好。
4)
耗散功率
指稳压二极管能够承受的最大持续工作的功率。因为当PN结有电流流过时都会产生热量,有热量损耗。随着电流增大,PN结的温度也会随之升高。因此,耗散功率也是决定稳压二极管的最大反向电流。
5)
漏电流
指在规定的稳定电压
下,稳压二极管的反向漏电流。一般在电源线保护电路中,这个参数需要注意。
应用及电流计算:
1)应用1:当稳压二极管应用在电源线上时,由于电源线易受到静电或过压脉冲等影响,必须对电源线路加以保护。一般电源线路的工作电压必须小于稳压二极管的标称稳定电压。

2)应用2:当稳压二极管应用于基准电压上时,由于稳压二极管的稳定电压与其反向电流有关,因此,必须给稳压二极管提供一个稳定的反向电流,要求较高时可以为稳压二极管提供一个恒流源。

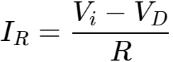
3)计算1-上左图:
D是5V6的稳压二极管,Vi是12V、R是500Ω、RL是10k。流过稳压二极管的电流
,
。负载是确定的,负载电压等稳压二极管的电压
,因此可以算出稳压二极管的反向电流
。
4)计算2-上右图:
D是5V6的稳压二极管,Vi是12V、R是5k、RL是500Ω、Q为NPN三极管。负载电阻RL的电压
;流过电阻R的电流
;稳压二极管的反向电流
,
为三极管的基极电流,因
远大于
,因此可以推算出
。
龙腾半导体SGT MOSFET LSGT085R018在智慧农业无