时间:2023-02-11 10:45
人气:
作者:admin
众所周知,晶闸管的应用十分广泛,晶闸管是一种非常精密的半导体器件。在使用过程中,我们必须在其指定的范围内才能获得所需要的输出,但是由于过电压、过电流等原因,晶闸管在运行过程中会面临不同类型的威胁,因此为了保证电路的正常运转,保证晶闸管的使用寿命,我们可以采取不同类型的晶闸管保护方案。 接下来将详细讲一下晶闸管保护的方法。 1、过压保护 2、过流保护 3、高 dv/dt 保护 4、高 di/dt 保护 5、热保护 6、门保护
一、晶闸管(可控硅)过压保护
晶闸管(可控硅)对电压非常敏感,当正向电压超过断态重复峰值电压(UDRM)的某个值时,晶闸管会误导通,导致电路故障。 当施加的反向电压超过反向重复峰值电压(URRM)的某个值时,将立即损坏。因此,有必要研究过电压的原因和抑制过电压的方法。 过电压主要是由于供给的电力或系统的储能发生剧烈变化,使系统没有足够的时间进行转换,或者系统中原本积累的电磁能没有及时消散。 下图为过压示例图。

过压示例
过电压的种类
过电压主要有两种:一种是由雷击等外部冲击引起的,另一种是开关分闸和合闸引起的冲击电压。 雷击或高压断路器动作产生的过电压是几微秒到几毫秒的电压尖峰,对晶闸管来说是非常危险的。而开关开合引起的冲击电压又分为以下几类: 1)交流电源开合产生的过电压 过电压可能是由于交流开关的开合或交流熔断器的熔断引起的。由于变压器绕组的分布电容、漏抗引起的谐振电路,过电压值变为正常值的2~10倍。一般开合速度越快,过电压就越高,在空载情况下断开电路时该值会更高。 2) 直流侧产生的过电压 如果电路的电感大或者我们切断电路时的电流值大,都会产生比较大的过电压。这种情况经常发生在电流突变时,由切断负载、导通晶闸管开路或熔断器快速熔断引起。 3) 换相冲击电压 换相过电压是晶闸管电流下降到0时,器件结层中残留的载流子复合引起的,所以也称为载流子积累效应引起的过电压。 换相过电压后,会发生换相振荡过电压。它是由电感和电容的谐振引起的振荡电压。其值与换相后的反向电压有关。反向电压越高,换向振荡过电压越大。

晶闸管(可控硅)保护电路--D 类:脉冲换向
晶闸管(可控硅)过电压保护措施
针对形成过电压的不同原因,可采用不同的抑制方法,如减小过电压源、衰减过电压幅值等;抑制过电压能量的上升速率,延缓产生能量的耗散速率,增加其耗散路径;使用电子电路进行保护。 最常见的方法是在回路中连接能量吸收元件以耗散能量,通常称为吸收回路或缓冲电路。 当设备上出现浪涌电压时,这些设备会在晶闸管上提供低电阻路径。下图显示了使用晶闸管二极管和缓冲网络对晶闸管进行过电压保护。

晶闸管电压保护电路图 1) 晶闸管(可控硅)保护电路--阻容(RC)缓冲电路 通常,过电压的频率很高,因此电容通常用作吸收元件。为防止振荡,常加阻尼电阻,形成阻容吸收电路。阻容吸收电路可以连接在电路的交流侧和直流侧,也可以并联在晶闸管的正负极之间。吸收电路最好使用无感电容,布线尽量短。

晶闸管(可控硅)保护电路--反向极化 RC 缓冲电路

晶闸管(可控硅)保护电路--非极化缓冲电路 2)晶闸管(可控硅)保护电路--过压撬棒电路 晶闸管过压保护电路或保护电路连接在电源的输出和地之间,选择齐纳二极管电压略高于输出轨的电压。 通常,5 V电源可以与 6.2 V齐纳二极管一起运行,当达到齐纳二极管电压时,电流将流过齐纳二极管并触发可控硅或晶闸管。 然后,这将提供对地短路,从而保护正在供电的电路免受任何损坏,并且还会熔断保险丝,然后从串联调节器中移除电压。

晶闸管过压保护电路 3)由非线性元件组成的吸收回路 上述阻容吸收电路的时间常数RC是固定的,有时不能将时间短、峰值高、能量大的过电压放电,抑制过电压的效果很差。因此,通常在转换器的输入和输出线上也并联了硒堆或压敏电阻等非线性元件。 硒堆的工作电压与温度有关,温度越低,耐压越高。此外,硒堆具有自恢复性,可反复使用。过电压作用后,硒基片上的烧孔又被溶解的硒覆盖,工作特性再次恢复。 压敏电阻是一种基于氧化锌的金属氧化物非线性电阻器。它有两个电极,电极之间填充了粒径为10-50μm的不规则ZNO微晶。并且在晶体之间存在约1μm的氧化铋颗粒层。 该晶界层在正常电压下处于高阻抗状态,只有小于 100 μA 的小漏电流。当施加电压时,引起电子雪崩,晶界层迅速进入低阻抗状态。电流迅速增加,泄漏能量并抑制过电压,从而保护晶闸管。浪涌后,晶界层恢复到高电阻状态。 非线性电阻也称为电压钳位装置,如下图所示:

电压钳位装置 电压钳位装置是一个非线性电阻,它连接在可控硅的阴极和阳极之间。电压钳位器件的电阻随着电压的增加而减小。 在正常工作条件下,电压钳位 (VC) 器件具有高电阻,仅吸收漏电流。当电压浪涌出现时,电压钳位装置提供低电阻,并在晶闸管上产生虚拟短路,因此,晶闸管两端的电压被钳位到一个安全值。 当浪涌条件过电压钳位装置返回高电阻状态。例如电压钳位装置: 1、硒闸流管二极管 2、金属氧化物压敏电阻 3、雪崩二极管抑制器
二、晶闸管(可控硅)保护--过流保护
过电流 在短路情况下,过电流流过晶闸管,这些短路要么是内部的,要么是外部的。 内部短路是由于可控硅不能阻挡正向或反向电压、触发脉冲错位、连接电缆或负载故障导致转换器输出端子短路等原因造成的。外部短路是由以下原因引起的: 1、负载持续过载和短路,发生短路时,故障电流取决于源阻抗。如果在短路期间源阻抗足够大,则故障电流被限制在晶闸管 的多周期浪涌额定值以下。在交流电路的情况下,如果忽略源电阻,则故障发生在峰值电压的瞬间。 2、在直流电路的情况下,故障电流受源电阻的限制。因此,如果源阻抗非常低,则故障电流非常大。该电流的快速上升会增加结温,因此晶闸管可能会损坏。因此,故障必须在其第一个峰值出现之前被清除,换句话说,故障电流必须在当前零位之前被中断。
晶闸管(可控硅)过流保护
过流保护的任务是在电路出现过流时,在元件烧坏之前迅速消除过流现象。晶闸管的过流保护主要有四种类型: ⑴ 灵敏的过流继电保护 继电器可以安装在交流或直流制动器中。当发生过流故障时,它会动作,使交通电源开关跳闸。由于过流继电器功率开关动作大约需要0.2S左右,所以必须配合措施限制过大的短路电流值,否则保护晶闸管来不及。 ⑵ 限流和脉冲移相保护 交流电流互感器通过整流桥形成交流电流检测电路,得到能反映交流电流大小的电压信号,从而控制晶闸管的触发电路。 当整流器输出端过载,直流电流增大时,交流电流也随之增大。检测电路输出超过一定电压,使稳压管击穿,增加控制晶闸管的触发脉冲,降低输出电压。减小过载直流电流以达到限流目的,通过调节电位器可以调节负载限流值。 当出现严重的过流或短路时,故障电流迅速上升。此时限流控制可能无法生效,且电流已超过允许值。 为了在对大感性负载进行全控整流时尽快消除故障电流,可以控制晶闸管的触发脉冲快速增大到超出整流状态的移相范围,在整流状态下出现负电压。输出端瞬时,电路进入逆变状态,使故障电流减小,迅速衰减为零。 ⑶ 直流快速开关保护 在容量大、要求高、短路频繁的场合,安装在直流侧的直流快速开关可用于直流侧的过载和短路保护。这种快速开关是专门设计的,其开关时间仅为0.2ms,总灭弧时间仅为25ms~30ms。 ⑷ 高速熔断器保护 熔断器是最简单、最有效的保护元件。针对晶闸管和硅整流元件过流能力差的问题,特制了一种称为快速熔断器的快速熔断器。具有动作迅速的特点,流动时可达到额定电流的5倍。当熔断时间小于0.02s时,在正常的短路电流下,能保证在三极管损坏前迅速熔断短路电流,适用于短路保护场合。 下图显示了使用熔断器对可控硅进行过流保护的电路图。

晶闸管(可控硅)过流保护电路图 总之,过流保护是根据晶闸管允许的过流能力,试图用灵敏的保护措施来限制短路电流的峰值,使短路电流的持续时间尽可能短。

选择用于保护可控硅的熔断器必须满足以下条件:
熔断器的额定值必须能够连续承载满载电流加上一小段时间的边际过载电流。
保险丝的 I2t 额定值必须小于晶闸管的 I2t 额定值
在电弧期间,熔断器电压必须很高,以强制降低电流值。
中断电流后,保险丝必须承受任何限制电压。
三、晶闸管(可控硅)保护--高 dv/dt 保护
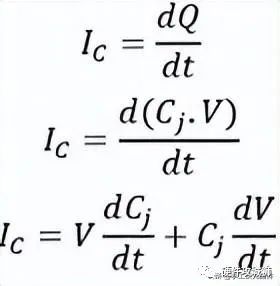
由于在晶闸管的阳极和阴极上施加正向电位,两个外部结正向偏置,但中间结将反向偏置。由于该结附近的耗尽区内存在电荷,因此它充当电容器,结电容为 C j。如果施加的阳极到阴极电压出现在包含电荷 Q 的耗尽区上,则充电电流 I c将为:

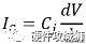
充电电流公式 结电容C j是不变的,因此dC j /dt 的值将为零。因此,

充电电流公式 从上面的等式可以清楚地看出,如果正向电压上升的速率会影响充电电流 I c,因为两者是成正比的。这里充电电流充当栅极电流,即使在没有实际栅极脉冲的情况下也会打开 SCR。因为这里的电流与施加电位的变化率相关,因此即使是很小的变化也可以打开设备。
晶闸管(可控硅)误触发的处理方法
为了防止晶闸管意外开启门,可以将电压缓冲电路与晶闸管并联使用。下图显示了缓冲电路,其中电阻和电容的串联组合与给定配置中的可控硅并联。

在这个电路中,电容器可以很好地处理误触发。当电路中的开关 S 闭合时,电路上会出现施加的电压。流动的电流将绕过电容器,晶闸管上的压降为零。到那时,电压将在电容器上积聚,因此将保持 SCR 的指定 dv/dt 额定值。因此,这将最终防止设备意外打开。 这里需要一个电阻与一个电容器串联吗? 从上面讨论的过程中,很明显,施加的电压对电容器 C 充电。但是当施加栅极脉冲并且 SCR 开启时,电容器开始通过晶闸管放电。 由于这将是一条低电阻路径,因此过大的电流可能会损坏晶闸管。为了防止这种损坏,必须限制放电电流,并且对于相同的大功率额定电阻R,与C串联放置。 这里必须在此处正确选择参数,调整它们以获得正确的结果。
四、晶闸管(可控硅)保护--高 di/dt 保护
由于在晶闸管的阳极和阴极上施加正向电位,两个外部结正向偏置,但中间结将反向偏置。由于该结附近的耗尽区内存在电荷,因此它充当电容器,结电容为 C j。如果施加的阳极到阴极电压出现在包含电荷 Q 的耗尽区上,则充电电流 I c将为:

充电电流公式 结电容C j是不变的,因此dC j /dt 的值将为零。因此,

充电电流公式 从上面的等式可以清楚地看出,如果正向电压上升的速率会影响充电电流 I c,因为两者是成正比的。这里充电电流充当栅极电流,即使在没有实际栅极脉冲的情况下也会打开 SCR。因为这里的电流与施加电位的变化率相关,因此即使是很小的变化也可以打开设备。 为了限制非常高的 di/dt 值,在电路中使用了一个与晶闸管串联的电感(Ls),该电感称为电流缓冲电感。

晶闸管(可控硅)保护电路--高 di/dt 保护
五、晶闸管(可控硅)保护--热保护
随着结温的升高,绝缘可能会失效。所以我们必须采取适当的措施来限制温升。 保护措施:我们可以通过将晶闸管安装在主要由铝(Al),铜(Cu)等高导热金属制成的散热器上来实现这一点。主要使用铝(Al),因为它成本低。晶闸管有几种类型的安装技术,例如 – 引线安装、螺柱安装、螺栓固定安装、压装安装等。 引线安装:在这种安装技术中,SCR 本身的外壳用作散热器。因此不需要额外的散热装置。因此,这种晶闸管保护技术通常用于低电流应用,通常小于一安培。 螺柱安装:晶闸管的阳极采用螺柱形式,拧到金属散热块上。 螺栓固定式安装:此处设备通过螺母螺栓机构连接到散热器。主要用于中小型额定电路。 压配合安装:这种安装是通过将整个 SCR 插入金属块中获得的。它用于高额定值电路。 Press-Pack 安装:这种安装用于晶闸管保护是通过在夹子的帮助下将晶闸管夹在散热器之间来获得的,它用于非常高额定值的电路。下图为晶闸管

带散热片的晶闸管(可控硅)
六、晶闸管(可控硅)保护--门保护
当我们处理晶闸管保护时,保护栅极电路免受过压和过流是一个非常重要的方面。我们已经讨论过,当存在过电压时,会导致晶闸管误触发。而由于过电流,结温可能会升高,从而损坏器件。 除此之外,当电源电路中存在瞬变时,栅极端会出现杂散信号。因此,晶闸管会因不需要的门控触发而开启。 因此,为了保护栅极端子免受此类作用,屏蔽电缆用于栅极保护。这种电缆的存在降低了感应电动势的机会,因此,晶闸管的不必要触发在很大程度上被最小化。具有上述所有措施的完整晶闸管保护电路如下所示。

具有基本电路元件的晶闸管(可控硅)保护电路 审核编辑:陈陈
下一篇:等离子清洗技术
龙腾半导体SGT MOSFET LSGT085R018在智慧农业无