时间:2023-02-13 11:00
人气:
作者:admin
为了方便初次接触高速信号的朋友们能快速入门,并应用到实际的电路设计中。作者特地整理了高速电路设计中常见的一些知识点,具有较强的工程性、实用性,能直接应用到嵌入式硬件、手机等设计中。(有关详细的知识点,持续关注信号完整性基础的更新吧)
01
高速信号定义
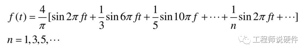
(1)方波的傅里叶变换:周期信号可以分解为一系列余弦信号的叠加。波形边沿越陡峭,谐波分量频率越高。
反射的影响:反射会带来过冲、振铃、回沟等一系列现象,容易造成器件失效、逻辑判断出错、EMI等问题。


图1:方波的傅里叶变换
(2)什么时候需要考虑反射:只有当走线的长度达到高速信号定义时需要考虑反射(信号边沿小于4~6倍的走线时延)。如果走线很短,产生的反射会被掩盖在边沿之中。
如下图边沿时间为0.1ns和0.3ns的信号在60mil和300mil走线不连续情况下的仿真结果。


图2、3ADS仿真:不同边沿和走线长度对信号的影响
02
传输线阻抗和反射
(1)传输线:有信号回流的信号线,PCB常见微带线、带状线、共面波导,同轴线,双绞线。

图4 :传输线示意图
信号在传输过程中每达到一个点,该处信号线和参考平面就会形成电场,进而产生瞬间的小电流,这样在信号传输的过程中,传输线的每一点都会等效成一个电阻,这就是传输线的特性阻抗。
简化公式:Z ≈sqrt(
上一篇:模拟信号和数字信号的区别和特点
下一篇:零欧电阻在电路设计中的巧妙用处
龙腾半导体SGT MOSFET LSGT085R018在智慧农业无