时间:2023-02-10 17:05
人气:
作者:admin
实验名称:电压放大器在非共线混频方法检测混凝土中的应用
研究方向:无损检测
测试目的:
无损检测是在不损伤或不干扰待测物体的结构材料的情况下,对其内部损伤进行探测的方法。传统无损检测法在仪器携带,操作程序,检测精度,损伤定位等方面有诸多不足和局限性,基于这些情况,提出了非线性超声混频检测方法。当两列入射基频超声波满足特定的条件后,在具有非线性源介质传播过程中相遇将发生谐振效应,产生第三列超声波,即混频波,该波包含着传播介质材料损伤的相关参数信息。该现象的发现极大地推动了非线性超声非共线混频法的研究进展。根据两列入射基频超声波的方向是否共线平行,可将非线性超声混频检测法划分成非共线混频检测法和共线混频检测法两类。其中的非共线混频检测技术具有频率可选、空间选择、方向可控等明显优势,除了对微损伤敏感度高之外,还可通过分开激励两列入射声波,采用相位反转法,有效排除非线性源的影响,因此有巨大的研究潜力。
测试设备:ATA-2042高压放大器、信号发生器、示波器、发射换能器、有机玻璃楔块组等。

图:非共线混频测试装置实物图
实验过程:
在完整混凝土非共线混频试验中,需要先制备混凝土试样,然后使用信号发生器,高压放大器ATA-2042,示波器来搭建完整混凝土非共线混频测试装置,接着通过计算得到一组有机玻璃楔块角度52度和71度之后,联系相关厂家定制得到有机玻璃楔块组。楔块组与混凝土试样以及超声波换能器两两之间使用超声耦合剂凡士林粘接。

图:非共线混频测试装置示意图
确定基频波频率比d为0.83,PXR04换能器设置接近最优激励参数40kHz,PXR07换能器设置激励参数为48kHz,激励幅值皆为150V,示波器采样率设为5MSa/s。由于试验仪器的限制,信号发生器激励波形采用的是双通道正弦波。
在能够正常运行检测的情况下,试验测试过程中分别改变基频波的频率和幅值,研究各参数包括非线性系数之间的变化规律。且分别运用非共线混频法和高次谐波法进行探测,这里高次谐波法主要是用来与非共线混频法做对比,体现非共线混频法良好的检测效果。
实验结果:
一、基频频率变化的影响

图3:基频频率与各参数变化趋势

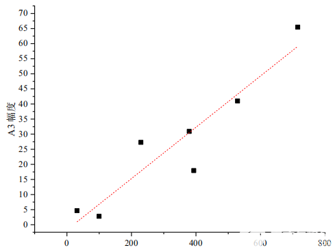
图4:基频频率与A3变化趋势
由图3和图4可知,保持频率比d不变,随着频率w2不断增加,A1,A2,A3幅度变化总体趋势是增加的,中间有个别的点显示与总体趋势有些突兀不同,原因可能是试验过程中仪器与试样之间的耦合效果不好,同时混凝土是多成分复合材料,具有较强的随机性和离散性。通过分析可知,基频频率的变化会导致混频非线性系数的变化,两者是有关系的。
二、基频幅度变化的影响

图5:A3与A1关系

图6:A3与A2关系
近似的,还可以得到A3随A1变化趋势以及A3随A2变化趋势如图5和图6;A3随A1变化趋势以及A3随A2变化趋势都是大致增加的。混频波和频频率是两基频频率之和,即混频和频波能量接近两基频波能量之和,这基本符合图中的逐渐上升的变化趋势。
三、与高次谐波法试验结果对比

图7:高次谐波法试验结果对比
由上图可看出,无论是从敏感度系数,还是在标准差和离散系数方面,非共线混频方法对高次谐波明显的优势,其非线性系数对基频波频率变化和幅值变化而相应的变化幅度更大,更敏感。
在相同的试验条件下,运用高次谐波法做对比试验,综合敏感度系数,标准差以及离散系数等表征参数,发现相对于高次谐波法,非共线混频法的非线性系数对基频波的频率和幅值变化更具有敏感性。
安泰ATA-2042高压放大器:

图:ATA-2042高压放大器指标参数
本文实验素材由西安安泰电子整理发布。Aigtek已经成为在业界拥有广泛产品线,且具有相当规模的仪器设备供应商,样机都支持免费试用。
本文实验案例参考自知网论文《基于混频测试的混凝土非线性声学特性的试验研究》
审核编辑黄宇
龙腾半导体SGT MOSFET LSGT085R018在智慧农业无