时间:2023-02-01 12:52
人气:
作者:admin
在使用滤波器的应用中,幅度响应通常比相位响应更受关注。但在某些应用中,滤波器的相位响应很重要。这方面的一个例子可能是过滤器是过程控制循环的元素。这里关注的是总相移,因为它可能会影响环路稳定性。用于构建滤波器的拓扑是否在某些频率下产生符号反转可能很重要。
将活动筛选器可视化为两个级联筛选器可能很有用。一个是理想滤波器,体现传递方程;另一个是用于构建滤波器的放大器。如图 1 所示。闭合负反馈环路中使用的放大器可以被视为具有一阶响应的简单低通滤波器。增益随高于某个断点的频率而滚降。此外,如果放大器用于反相配置,则实际上在所有频率下都会有额外的180°相移。

图1.滤波为两个传递函数的级联。过滤器设计是一个两步过程。
首先,选择滤波器响应;然后,选择电路拓扑来实现它。滤波器响应是指衰减曲线的形状。通常,这是经典的反应之一,例如巴特沃斯,贝塞尔或某种形式的切比雪夫。虽然通常选择这些响应曲线来影响幅度响应,但它们也会影响相位响应的形状。为了在本讨论中进行比较,幅度响应将被忽略,并认为基本上是恒定的。
滤波器复杂性通常由滤波器“阶数”定义,该阶数与储能元件(电感器和电容器)的数量有关。滤波器传递函数分母的阶数定义了频率增加时的衰减率。渐近滤波器滚降速率为 –6 n dB/倍频程或 –20 n dB/十倍频程,其中n 是极数。八度是频率的加倍或减半;十年是频率的十倍增加或减少。因此,一阶(或单极)滤波器的滚降率为–6 dB/倍频程或–20 dB/十倍频程。同样,二阶(或2极)滤波器的滚降率为–12 dB/倍频程或–40 dB/十倍频程。高阶滤波器通常由级联的一阶和二阶模块组成。当然,可以用单个活动级构建三阶甚至四阶部分,但是对分量值的敏感性以及分量之间相互作用对频率响应的影响急剧增加,使得这些选择的吸引力降低。
传递方程
首先,我们将看一下传递方程的相位响应。对于相同阶次的所有滤波器选项,传递函数的相移将是相同的。对于单极点低通情况,传递函数具有相移Φ,由下式给出
![]() |
(1) |
其中:
ω = 频率(弧度每秒)
ω0= 中心频率(弧度每秒)
以弧度每秒为单位的频率等于以赫兹 (f) 为单位的频率的 2π 倍,因为在 2° 周期中有 360π 弧度。由于表达式是无量纲比率,因此可以使用 f 或 ω。
中心频率也可以称为截止频率(单极点低通滤波器的幅度响应下降3 dB—约30%)的频率。就相位而言,中心频率将处于相移为其极限值–50°的90%的点(在本例中)。图2为半对数图,计算了公式1从低于中心频率二十倍频到高于中心频率二十倍频的范围。中心频率(=1)的相移为–45°。

图2.单极点低通滤波器关于中心频率的相位响应(同相响应,左轴;反相响应,右轴)。
同样,单极点高通滤波器的相位响应由下式给出:
![]() |
(2) |
图3评估了公式2从低于中心频率二十倍频程到高于中心频率二十倍频程的系数。归一化中心频率(=1)的相移为+45°。
很明显,高通和低通相位响应相似,仅偏移了90°(π/2弧度)。

图3.中心频率为1的单极点高通滤波器的相位响应(同相响应,左轴;反相响应,右轴)。
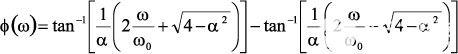
对于二阶低通情况,传递函数具有相移,其近似公式为

| (3) |
其中α是滤波器的阻尼比。它将确定幅度响应的峰值和相变的尖锐度。它是电路Q值的倒数,这也决定了幅度滚降或相移的陡峭程度。北海的α为1.414(Q为0.707),产生最大平坦的响应。较低的α值将导致幅度响应出现峰值。

图4.中心频率为2的1极点低通滤波器的相位响应(同相响应,左轴;反相响应,右轴)。
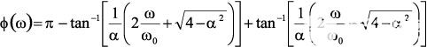
图4评估了该方程(使用α = 1.414),从低于中心频率二十倍频到高于中心频率二十倍频。这里的中心频率(=1)显示–90°的相移。2极点高通滤波器的相位响应近似公式为:

| (4) |
在图5中,计算了这个方程(再次使用α = 1.414),从低于中心频率二十倍频程到高于中心频率(=1)二十倍频程,显示相移为–90°。

Figure 5. Phase response of a 2-pole, high-pass filter with a center frequency of 1 (in-phase response, left axis; inverted response, right axis).
Again, it is evident that the high-pass and low-pass phase responses are similar, just shifted by 180° (π radians).
In higher-order filters, the phase response of each additional section is cumulative, adding to the total. This will be discussed in greater detail later. In keeping with common practice, the displayed phase shift is limited to the range of ±180°. For example, –181° is really the same as +179°, 360° is the same as 0°, and so on.
First-Order Filter Sections
First-order sections can be built in a variety of ways. The most straightforward way is illustrated in Figure 6, simply using a passive R-C configuration. The center frequency of this filter is 1/(2πRC). It is commonly followed by a noninverting buffer amplifier to prevent loading by the circuit following the filter, which could alter the filter response. In addition, the buffer can provide some drive capability. The phase will vary with frequency as shown in Figure 2, with 45° phase shift at the center frequency, exactly as predicted by the transfer equation, since there are no extra components to modify the phase shift. That response will be referred to as the in-phase, first-order, low-pass response. The buffer will add no phase shift, as long as its bandwidth is significantly greater than that of the filter.

Figure 6. Passive, low-pass filter.
Remember that the frequency in these plots is normalized, i.e., the ratio to the center frequency. If, for example, the center frequency were 5 kHz, the plot would provide the phase response to frequencies from 50 Hz to 500 kHz.
An alternative structure is shown in Figure 7. This circuit, which adds resistance in parallel to continuously discharge an integrating capacitor, is basically a lossy integrator. The center frequency is again 1/(2πRC). Because the amplifier is used in the inverting mode, the inversion introduces an additional 180° of phase shift. The input-to-output phase variation with frequency, including the amplifier’s phase inversion, is shown in Figure 2 (right axis). This response will be referred to as the inverted, first-order, low-pass response.

Figure 7. Active, single-pole, low-pass filter using an op amp in the inverting mode.
The circuits shown above, which attenuate the high frequencies and pass the low frequencies, are low-pass filters. Similar circuits also exist to pass high frequencies. The passive configuration for a first-order, high-pass filter is shown in Figure 8; and its phase variation with normalized frequency is shown in Figure 3 (in-phase response).

Figure 8. Passive, high-pass filter.
The plot in Figure 3 (left axis) will be referred to as the in phase, first-order, high-pass response. The active configuration of the high-pass filter is shown in Figure 9. The phase variation with frequency is shown in Figure 3 (right axis). This will be referred to as the inverted, first-order, high-pass response.

Figure 9. Active, single-pole, high-pass filter.
Second-Order Sections
A variety of circuit topologies exists for building second-order sections. To be discussed here are the Sallen-Key, the multiple-feedback, the state-variable, and its close cousin, the biquad. They are the most common and are relevant here. More complete information on the various topologies is given in the References.
Sallen-Key, Low-Pass Filter
广泛使用的Sallen-Key配置,也称为压控电压源(VCVS),于1955年由麻省理工学院林肯实验室的R. P. Sallen和E. L. Key首次推出(见参考文献3)。图10是二阶低通滤波器的示意图。这种配置受欢迎的一个原因是,其性能基本上与运算放大器的性能无关,因为放大器主要用作缓冲器。由于跟随器连接的运算放大器不用于基本Sallen-Key电路中的电压增益,因此其增益带宽要求并不重要。这意味着,对于给定的运算放大器带宽,与涉及可变反馈环路中的放大器动态的其他拓扑相比,可以使用该固定(单位)增益设计更高频率的滤波器。信号相位通过滤波器保持(同相配置)。Q = 0.707(或阻尼比,α = 1/Q为1.414—巴特沃兹响应)的Sallen-Key低通滤波器的相移与频率的关系图如图4(左轴)所示。为了简化比较,这将是此处要考虑的二阶部分的标准性能。

图 10.2极点,萨伦键,低通滤波器。
萨伦键高通滤波器
为了将Sallen-Key低通转换为高通配置,频率确定网络中的电容和电阻互换,如图11所示,同样使用单位增益缓冲器。相移与频率的关系如图5(左轴)所示。这是同相、二阶、高通响应。

图 11.2极,萨伦键,高通滤波器。
Sallen-Key滤波器中的放大器增益可以通过将反馈路径中的阻性衰减器连接到运算放大器的反相输入来提高。但是,改变增益会影响频率确定网络的方程,并且必须重新计算分量值。此外,放大器的动态特性更可能需要仔细检查,因为它们会向环路引入增益。
多反馈 (MFB) 低通滤波器
多反馈滤波器是一种单放大器配置,基于运算放大器作为反馈环路内的积分器(反相配置)(见图12)。因此,传递函数对运算放大器参数的依赖性大于Sallen-Key实现。由于运算放大器在高频下的开环增益有限,因此很难产生高Q值、高频部分。指导原则是,运算放大器的开环增益应至少比谐振(或截止)频率下的幅度响应高20 dB(即×10),包括滤波器Q引起的峰值。Q引起的峰值将具有A幅度的幅度0:
![]() |
(5) |
其中H是电路的增益。

图 12.2 极点、多反馈 (MFB)、低通滤波器。
多反馈滤波器反转信号的相位。这相当于将滤波器本身的相移增加了180°。相位与频率的变化如图4(右轴)所示。这将被称为反相、二阶、低通响应。有趣的是,在多重反馈情况下,实现给定响应的最高值和最低值分量之间的差异高于Sallen-Key实现。
多反馈 (MFB) 高通滤波器
关于多重反馈、低通情况的评论也适用于高通情况。多反馈、高通滤波器的原理图如图13所示,其理想相移与频率的关系如图5所示(右轴)。这被称为反相、二阶、高通响应。

图 13.2极点、多反馈(MFB)、高通滤波器。
这种类型的滤波器可能更难在高频下稳定实现,因为它基于微分器,与所有微分器电路一样,该微分器电路在较高频率下保持更大的闭环增益,并且倾向于放大噪声。
状态变量
状态变量实现如图 14 所示。这种配置提供了最灵活、最精确的实现,但代价是牺牲了更多的电路元件,包括三个运算放大器。所有三个主要参数(增益、Q和ω0)可独立调整;同时提供低通、高通和带通输出。滤波器的增益也是独立可变的。
由于状态变量滤波器的所有参数都可以独立调整,因此可以最大限度地减少分量扩散。此外,由于温度和组件公差引起的不匹配被最小化。积分器部分使用的运算放大器对运算放大器增益带宽的限制与多反馈部分所述相同。

图 14.2极点,状态变量滤波器。
低通部分的相移与频率的关系将是反二阶响应(见图4,右轴),高通部分将具有反相的高通响应(见图5,右轴)。
双二次(双二)
状态变量滤波器的近亲是双二阶滤波器(参见图 15)。该电路的名称最初由J. Tow于1968年使用(见参考文献6),后来由L. C. Thomas于1971年使用(见参考文献5),其依据是传递函数是两个二次项的比率。该电路是状态可变电路的略有不同的形式。在此配置中,单独的高通输出不可用。但是,有两个低通输出,一个同相(LOWPASS1),一个异相(LOWPASS2)。

图 15.标准双二极,2极部分。
通过增加第四个放大器部分,可以实现高通、陷波(低通、标准和高通)和全通滤波器。具有高通部分的双二阶图如图16所示。

图 16.2极点双二阶滤波器(带高通部分)。
LOWPASS1部分的相移与频率的关系将是同相、二阶、低通响应(见图4,左轴)。LOWPASS2 部分将具有倒置的二阶响应(参见图 4,右轴)。HIGHPASS部分具有反转的相移(见图5,右轴)。
结论
我们已经看到,用于构建滤波器的拓扑将对其实际相位响应产生影响。这可能是用于确定所用拓扑的因素之一。表1比较了本文讨论的各种低通滤波器拓扑的相移范围。
表 1.低通滤波器拓扑相移范围。
|
低通滤波器 |
||
|
筛选器拓扑 |
单相 |
相位变化 |
|
单极,无源 |
同相 |
0° 至 –90° |
|
单极,有源 |
倒 |
180° 至 90° |
|
2极,萨伦钥匙 |
同相 |
0° 至 –180° |
|
2 极,多反馈 |
倒 |
180° 至 0° |
|
2 极,状态变量 |
倒 |
180° 至 0° |
|
2 极双二阶低通1 |
同相 |
0° 至 –180° |
|
2 极双二阶低通2 |
倒 |
180° 至 0° |
同样,表2比较了各种高通拓扑。
表 2.高通滤波器拓扑相移范围。
|
高通滤波器 |
||
|
筛选器拓扑 |
单相 |
相位变化 |
|
单极,无源 |
同相 |
–90° 至 0° |
|
单极,有源 |
倒 |
–90° 至 –180° |
|
2极,萨伦钥匙 |
同相 |
180° 至 0° |
|
2 极,多反馈 |
倒 |
0° 至 –180° |
|
2 极,状态变量 |
倒 |
0° 至 –180° |
|
2 极,双二极 |
倒 |
0° 至 –180° |
相移随Q的变化
上面的二阶响应都使用了 0.707 的 Q。图17显示了随着Q的变化,低通滤波器对相位响应的影响(高通的结果相似)。绘制了 Q = 0.1、0.5、0.707、1、2、5、10 和 20 值的相位响应。值得注意的是,在Q值较低时,相位可能会开始变化,远低于截止频率。

图 17.相移随Q的变化而变化。
虽然不是本文的主题,但幅度响应与Q的变化也可能令人感兴趣。图18显示了Q在上述范围内变化时二阶部分的幅度响应。
当在多级滤波器中使用高Q值部分时,高Q值部分发生的峰值可能会引起人们的兴趣。虽然从理论上讲,这些部分的级联顺序没有任何区别,但在实践中,通常最好将低Q值部分放在高Q值部分之前,这样峰值就不会导致超过滤波器的动态范围。虽然此图适用于低通部分,但高通响应将显示类似的峰值。

图 18.2极点滤波器中的幅度峰值随Q的变化而变化。
高阶滤波器
传递函数可以级联以形成高阶响应。当滤波器响应级联时,在任何频率下,dB增益(和衰减)都会增加,相位角也会增加。如前所述,多极点滤波器通常由级联二阶滤波器构建,外加一个用于奇阶滤波器的附加一阶部分。两个级联的一阶部分无法提供单个二阶部分提供的宽范围Q。
传递函数的四阶滤波器级联如图19所示。在这里,我们看到滤波器由两个二阶部分构建。

图 19.4极点滤波器的级联传递函数。
图20显示了以三种不同方式构建四阶滤波器对相位响应的影响。第一个是用两个Sallen-Key(SK)巴特沃斯部分建造的。第二个由两个多反馈(MFB)巴特沃兹部分组成。第三个由一个SK部分和一个MFB部分组成。但是,正如两个级联的一阶截面不构成二阶截面一样,两个级联的二阶巴特沃斯截面也不等于四阶巴特沃斯截面。巴特沃斯滤波器的第一部分有一个f0的 1 和 Q 的 0.5412 (α = 1.8477)。第二部分有一个f0的 1 和 Q 的 1.3065 (α = 0.7654)。
如前所述,SK部分是同相的,而MFB部分是反相的。图20比较了这三个四阶部分的相移。SK和MFB滤波器具有相同的响应,因为两个反相部分产生同相响应(–1 × –1 = +1)。采用混合拓扑结构(SK和MFB)构建的滤波器产生180°偏移(+1 × –1 = –1)的响应。

图 20.具有各种拓扑结构的四阶相位响应。
请注意,正如预期的那样,总相移是二阶截面(360°与180°)的两倍。高通滤波器将具有类似的相位响应,偏移180°。
这种级联的想法可以用于高阶滤波器,但任何超过八阶的东西在实践中都很难组装。
以后的文章将研究带、陷波(带抑制)和全通滤波器中的相位关系。
审核编辑:郭婷:郭婷
龙腾半导体SGT MOSFET LSGT085R018在智慧农业无