时间:2023-02-01 15:58
人气:
作者:admin
数字电位计 (digiPOT) 提供了一种方便的方式来调整传感器、电源或其他需要某种类型校准的设备的交流或直流电压或电流输出,时序、频率、对比度、亮度、增益和失调调整只是其中的一小部分。数字设置几乎避免了与机械电位计相关的所有问题,例如物理尺寸、机械磨损、游标污染、电阻漂移以及对振动、温度和湿度的敏感性,并消除了由于需要螺丝刀访问而导致的布局不灵活性。
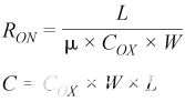
digiPOT 可用于两种不同的模式:电位计或变阻器。在电位计模式下,如图1所示,有三个端子可用;信号连接在端子 A 和 B 上,而端子 W(如游标)提供衰减的输出电压。当数字比率控制输入全为零时,游标通常连接到端子B。

图1.电位计模式。
当游标硬连线到任一端时,电位计变成一个简单的可变电阻或变阻器,如图2所示。变阻器模式允许更小的外形尺寸,因为需要的外部引脚更少。一些数字POT只能作为变阻器使用。

图2.变阻器模式。
对 digiPOT 电阻端子上出现的电流或电压的极性没有限制,但交流信号的幅度不能超过电源轨 (VDD和 V党卫军)—当器件在变阻器模式下工作时,应限制最大电流或电流密度,尤其是在较低电阻设置下。
典型应用
信号衰减是电位计模式固有的,因为器件基本上是一个分压器。输出信号定义为:V外= V在×(R代数转换器/R罐),其中R罐是 digiPOT 的标称端到端电阻,并且R代数转换器是W和输入信号的参考引脚(通常是端子B)之间的数字选择电阻,如图3所示。

图3.信号衰减器。
信号放大需要一个有源元件,通常是反相或同相放大器。可以使用电位计或变阻器模式,并具有适当的增益公式。
图4所示为一个同相放大器,该器件用作电位计,通过反馈调节增益。由于输出的分数反馈,R嗖嗖/(R工 务 局+ R嗖嗖),必须等于输入,理想化增益为

图4.电位计模式下的同相放大器。
该电路的增益与R嗖嗖,迅速增加为R嗖嗖接近零,定义双曲传递函数。要限制最大增益,请插入一个串联电阻R嗖嗖(以及增益方程的分母)。
如果需要线性增益关系,变阻器模式可与固定外部电阻结合使用,如图5所示;增益现在定义为:

图5.变阻器模式下的同相放大器。
为获得最佳性能,请将较低电容端子(较新器件中的W引脚)连接到运算放大器输入。
数字POT在信号放大方面的优势
图4和图5所示电路具有高输入阻抗和低输出阻抗,可以处理单极性和双极性信号。digiPOT可用于游标操作,通过固定外部电阻在更小的范围内提供更高的分辨率,并可用于带或不带信号反转的运算放大器电路。此外,它们还具有较低的温度系数——电位计模式下通常为 5 ppm/°C,变阻器模式下通常为 35 ppm/°C。
用于信号放大的 digiPOT 的局限性
处理交流信号时,digiPOT 性能受到带宽和失真的限制。带宽是可以通过 digiPOT 的最大频率,由于寄生分量,衰减小于 3 dB。总谐波失真(THD)——这里定义为接下来四个谐波的均方根和与输出基波值之比——是信号通过器件时衰减的量度。这些规范隐含的性能限制是由内部 digiPOT 架构引起的。分析将有助于充分了解这些规格并减少其负面影响。
内部架构已从经典串行电阻阵列(如图6a所示)演变为分段式架构(如图6b所示)。主要改进是减少了所需的内部开关数量。在第一种情况下,串行拓扑,交换机的数量为N = 2n,其中 n 是以位为单位的分辨率。n = 10 时,需要 1024 个开关。

图6.a) 传统架构。b) 分段架构。
专有(专利)分段架构使用级联连接,最大限度地减少交换机总数。图 6b 的示例显示了一个两段架构,由两种类型的模块组成:左侧为 MSB,右侧为 LSB。
左边的上块和下块是粗位(MSB段)的开关串。右边的块是一串用于精细位(LSB段)的开关。MSB 开关建立与 R 的粗略近似值一个/RB率。由于LSB串的总电阻等于MSB串中的单个电阻元件,因此LSB开关在主串的任何点建立比率的精细部分。A 和 B MSB 交换机采用互补编码。
分段架构中的交换机数量为:
N = 2m + 1+ 2n – m,
其中 n 是 MSB 字中的总位数,m 是分辨率的位数。例如,如果 n = 10 且 m = 5,则需要 96 个开关。
与传统字符串相比,分段方案需要的开关更少:
差值 = 2n– (2m+ 1 + 2n – m)
在此示例中,节省的费用将是
1024 – 96 = 928!
在这两种架构中,开关负责在不同的电阻值之间进行选择,因此了解模拟开关中的交流误差源非常重要。这些 CMOS(互补金属氧化物半导体)开关由并联的 P 沟道和 N 沟道 MOSFET 组成。该基本双边开关保持相当恒定的电阻(R上) 表示最高至全电源轨的信号。
带宽
图7显示了影响CMOS开关交流性能的寄生元件。

图7.CMOS 交换机型号。
CDS= 漏源电容;CD= 漏极-栅极 + 漏极-大容量电容;CS= 源极门 + 源极大容量电容。
传递关系在下面的等式中定义,其中应用了这些假设:
源阻抗为 0 Ω
无外部负载贡献
没有来自的贡献CDS
R低音水平 << RMSB

其中:
传递方程具有许多因子,并且在某种程度上依赖于代码,因此使用以下进一步的假设来简化方程
这CDS贡献在传递方程中增加了一个零,但由于这通常发生在比极点高得多的频率下,因此RC低通滤波器是主要响应。简化方程的一个很好的近似值是:

带宽 (BW) 定义为:

哪里CL是负载电容。
BW 依赖于代码,最坏的情况是当代码处于半刻度时,数字值为 29AD512和5292的= 27AD128为5291(见附录)。图8显示了低通滤波效应与各种标称电阻和负载电容值的代码函数关系。

图8.各种电阻值的最大带宽与负载电容的关系。
应考虑PCB板的寄生走线电容,否则最大带宽将低于预期;轨道电容可以直接计算为

例如,假设FR4板材料具有两个信号层和电源/接地层,则εR= 4,轨道长度 = 3 厘米,宽度 = 1.2 毫米,层间距离 = 0.3 毫米;总轨道电容约为4 pF。
失真
THD用于量化器件作为衰减器的非线性度。这种非线性是由于内部开关及其R上随电压变化。幅度失真的夸大示例如图9所示。

图9.失真。
与单个内部无源电阻的电阻相比,开关的RON非常小,其在整个信号范围内的变化甚至更小。图10显示了一个典型的导通电阻特性。

图 10.CMOS电阻。
电阻曲线取决于电源电压轨;内部开关具有最低R上在最大电源电压下的变化。如果电源电压降低,R上变化,因此非线性增加。图 11 比较了 RON低压 digiPOT 的两个电源电平变化。

图 11.开关电阻变化与电源电压的关系
THD取决于多个因素,因此难以量化,但假设R的变化为10%上,以下等式可用作粗略近似:

作为一般规则,标称数字POT电阻越高(R罐),THD 越好,因为分母越大。
权衡取舍
失真和带宽都随着增加而降低R罐,因此不可能在不惩罚另一个规范的情况下改进一个规范。因此,电路设计人员必须选择合适的平衡点。在器件设计层面也是如此,因为IC设计人员必须平衡设计公式中的参数:

偏 置
从实用的角度来看,必须充分利用这些规格。当使用digiPOT通过容性耦合衰减交流信号时,如果信号偏置到电源的中间值,则可实现最低的失真。这意味着开关正在处理电阻特性的最线性部分。
一种方法是使用双电源,简单地将电位计接地至电源公共电源。然后,信号可以具有正负摆动。另一种方法是,如果需要单电源,或者特定的digiPOT不支持双电源,则添加VDD/2交流信号。必须在两个电阻端子上增加该失调电压,如图12所示。

图 12.单电源交流信号调理。
如果需要信号放大器,则采用双电源的反相放大器(如图13所示)优于同相放大器,原因有二:
提供更好的THD性能,因为反相引脚上的虚拟地会将开关电阻集中在电压范围的中间。
由于反相引脚处于虚拟地,游标电容CDLSB,几乎被取消以获得带宽的小幅增加(但必须注意电路稳定性)。

图 13.使用带有反相放大器的 digiPOT 进行可调放大。
附录—关于AD5291/AD5292
256/1024位数字电位计精度为1%,可编程20次
AD5291/AD5292数字电位计如图14所示,具有256/1024位分辨率。提供 20 kΩ、50 kΩ 和 100 kΩ 的端到端电阻选项,容差优于 1%,变阻器模式下的温度系数为 35 ppm/°C,分压器模式下的温度系数为 5 ppm/°C(比率)。这些器件执行与机械电位计相同的电子调节功能,但更小、更可靠。其游标位置可通过SPI兼容接口进行调整。在熔断保险丝以固定游标位置之前,可以进行无限制的调整,该过程类似于将环氧树脂放在机械修剪器上。此过程最多可重复20次(“去除环氧树脂”)。AD9/AD33采用9 V至16 V单电源或±5 V至±5291.5292 V双电源供电,功耗为8 μW。采用 14 引脚 TSSOP 封装,额定温度范围为 –40°C 至 +105°C。

图 14.AD5291/AD5292功能框图
审核编辑:郭婷
上一篇:提高硬件设计能力的学习路线
下一篇:差分信号与单端信号的区别有哪些?
龙腾半导体SGT MOSFET LSGT085R018在智慧农业无