时间:2023-02-02 09:04
人气:
作者:admin
放大器是一种把“某物”变大的装置。它就像一个放大镜。这放大了什么?它通常放大(放大)电流或电压或功率如下图所示。

功率放大器的基本作用
射频功率放大器的类型
这些天似乎越来越难找到应用/产品使用放大器作为一个单独的组件(离散组件),因此我发现很难找到这样的工程师谁有处理离散放大器的经验。在大多数产品中,特别是移动通信产品中(e。大多数放大器(尤其是接收链放大器)集成到各种射频集成电路中。少数情况之一,你仍然可以看到一个离散放大器(如(a)~(e))将发射机链的最后阶段功率放大器。你不能把这个功率放大器集成到射频集成电路的原因是它产生了太多的热量。
在其他一些应用中,你仍然可以看到离散放大器(或一个模块,其中一对离散放大器是主要组成部分,如(f)~(k))将是一个系统,需要非常高的功率传输(比如电信转发器,移动通信系统的各种基站)。
最近,即使是这样的大功率放大器也开始装备各种控制电路和接口,比如以太网),可以安装在位于高塔顶面的天线旁边(比如基站)。这种放大器(实际上,我可以称它为一个放大器系统)被称为远程无线电头。
理想与实际放大器
理想的放大器功能非常简单。如果你用数学表达式来表示这个函数,它看起来会更简单。理想的函数是实现一些最简单的数学函数(f(x) = a x,其中a > 1)用下图中的蓝色直线表示。
然而,正如我所知,正如你所知,正如每个人所经历的,没有什么像理论一样。在现实中,放大的特征用红色表示。在这条曲线中,在某些部分你会看到一条非常接近理想操作的直线,但是从某些点上行为会偏离理想操作。从数学上讲,这条非理想(非线性)曲线可以用多项式表示,如下图所示。

理想与实际放大器典型特性对比
为什么会出现非线性问题?
那么你的问题将会是“为什么这些非线性的部分很重要?”,“它会引起任何问题吗?”这个问题很容易用你在高中学的简单数学来解释。假设我们有一个放大器,它具有如下图所示的g(x)特性,你把一个非常简单的信号表示为cos(f t),通过几个数学步骤,你可以得到如下的表达式。(如果你不擅长数学,或者懒得像我一样计算,那就试试WolframAlpha吧,一个帮你计算一切的网站)。重要的不是计算过程(你总是可以让软件来做)。更重要的是理解如何解释结果。从结果中,可以看到输入信号中不存在的几个不同的频率(cos(f0 t))。这意味着放大器的非线性的主要问题是它产生了许多额外的频率,我们不希望有。

如果你喜欢图形表达式,而不喜欢像我这样枯燥的数学表达式,你可以试试。图的第一行显示了放大器的理想工作状态,最后一行显示了放大器的二阶和三阶多项式(非线性部分)的结果,这里你可以看到在输入信号中不存在的两个额外的频率峰值。第二行和第三行显示了单独的二级和三级图,仅供您理解。

基波和谐波图示
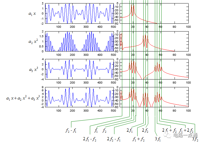
如果你输入一个复合信号(在这个例子中是一个由两个频率组成的信号),由于放大器的非线性特性,你会得到如下所示的更复杂的结果。当然,我用这个软件来解这个方程-:),我不想花半个小时自己来解这个方程-:)。这个结果意味着什么?简单! ! !你有许多你不想要的额外频率!!

额外频率的产生过程
如果我把这个数学表达式作图,就会得到下面的结果。如果你正在测试一个真正的放大器,重要的是要在频域准确定位由这种非线性产生的尖峰。如果你用频谱分析仪或网络分析仪测量放大器的特性,你会看到很多没有输入到放大器的其他峰值。有些峰值是由非线性产生的,有些峰值是由其他原因造成的。因此,理解这种非线性特性的影响将帮助你找出频率域中那些不需要的峰值的来源。

额外频率产生过程的图示
如果放大器的输入信号是非常窄的带宽或连续波信号,就会出现上述放大器非线性的问题。然而,你会有更多的情况下,你把调制宽带信号作为输入放大器,在这种情况下,最明显的非线性造成的副作用将是差的ACLR/ACPR。
如何表示非线性度?
一般来说,“非线性特性”在放大器中不是很好,这是我们想要避免的,但永远不能完全消除。在大多数情况下,如果有我们不喜欢的东西,并试图尽可能多地删除它,我们做一些'指标'那些属性,并把它们放在数据表(规范表)。
你可以猜到,我们在放大器的规格中有一些指标,它代表了放大器的非线性特性。最常见的指标是IP3(三阶截点)和1 dB压缩点。
现在你可能有一个问题----如何避免非线性效应?
没有办法完全消除这个问题,但是有各种方法可以减少这个问题。据我所知,有一些常见的技术如下所示。
你能想到的第一种方法是把一个放大器替换成另一个有更宽的线性区域的放大器,如图所示。但它通常需要额外的成本,在某些情况下,这些组件根本不存在。
另一种方法是将信号电平移至稍低的功率区域,使其工作在放大器特性曲线的线性区域。但是,当信号的幅度太大(回退量很大),并且没有太多的移位空间时,这种方法就不适用了。
另一种方法是让放大器产生所有那些脏的尖峰,然后用额外的滤波器过滤掉那些不需要的尖峰。这种方法还需要额外的成本,在某些情况下,你可能会发现很难找到合适的过滤器,可以处理如此高的功率(放大信号)。
另一种方法是最近发展起来的,并在一些高级应用中得到了应用。这是一种叫做预失真的技术。它是一种智能的、先进的技术,但如何找到合适的预失真算法是一项复杂的工作。

预失真
增益和效率
如前所述,放大器是一种使小的输入信号(能量)变成大的输出信号(能量)的装置。这意味着放大器为输入信号提供了大量的能量。那么放大器从哪里获得能量呢?它由外部能源提供,标记为“Vdd”,如下图所示。对于你的手机来说,这个Vdd会连接到电池上,在一个像基站这样的大系统中,这个部分最终会连接到外部电源线上。
增益表示放大器对输入信号的放大程度,即输入信号与输出信号功率之比。
效率这一术语指的是放大器实现所需振幅的能量有多小。例如,当你要放大A和B的增益相等时。放大器A的增益达到3v, 100毫安,而B的增益达到4.2V, 200毫安。你可以说放大器A比放大器b更有效率。放大器效率低意味着在放大过程中会浪费更多的能量。浪费掉的能源将何去何从?它以热的形式释放。

功率放大器增益的定义
审核编辑:汤梓红
上一篇:高速DAC控制功率放大器斜坡曲线
下一篇:40个实用模拟电路小知识
龙腾半导体SGT MOSFET LSGT085R018在智慧农业无