时间:2023-01-13 14:13
人气:
作者:admin
比较器是一种常用的集成电路,在各种电路中都可以广泛应用,比较器主要是由运放搭建而成,是运放在非线性状态的典型应用。比较器就是当输入电压到达设定的阈值电压时,输出信号就会发生翻转,但是在阈值电压附近的任何微小变化,都会引起输出电压的跃变,所以比较器虽然比较灵敏,但是抗干扰能力差,而滞回比较器具有滞回特性,即具有一定的惯性,因而也就具有一定的抗干扰能力。滞回比较器通常可以分为上行滞回和下行滞回,又分别为有参考电压的和无参考电压的,这期主要围绕滞回比较器的四种应用进行分析!
关键词:滞回比较器;
01上行滞回比较器——不带参考电压
1.1、电路结构图
如图1-1所示,“上行滞回比较器——不带参考电压”的电路图:

图1-1 滞回比较器——不带参考电压电路图
图1-1电路中比较器采用LM339,以5V作为U3A的输入电源,那么输出电压高电平Voh=5V,输出电压低电平为Vol=0V,由于339内部结构,需要使用电阻R2进行上拉处理。
1.2、电路分析
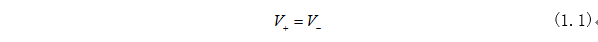
根据运放的“虚短”可以知道:

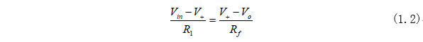
根据运放的“虚断”可以知道,没有电流流过运放,所以得:

其中已知阈值电压为:

所以输入电压Vin可以根据式(1.2)和式(1.3)为:

当输入电压Vin开始高于阈值电压(但是还没有完全高于),输出电压为低电平VoL=0V;同理,当输入电压Vin开始低于阈值电压(但是还没有完全低于),输出电压为高电平VoH=5V,即:

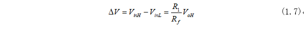
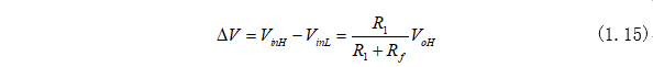
其电压回差(迟滞宽度)为:

代入值,求得电压回差:

1.3、电路仿真分析
将图1-1电路在仿真软件中进行直流分析,仿真设置为图1-2所示:

图 1-2 直流分析
图1-2仿真结果表示,输出电压在输入电压为-0.1V时开始跳变,与分析的电压回差还是有一定的误差程度,还有待继续分析原因!
02下行滞回比较器——不带参考电压
2.1、电路结构图
如图2-1所示,“下行滞回比较器——不带参考电压”的电路图:

图2-1 滞回比较器——不带参考电压电路图
图2-1电路中比较器采用LM339,以5V作为U3A的输入电源,那么输出电压高电平Voh=5V,输出电压低电平为Vol=0V,由于339内部结构,需要使用电阻R2进行上拉处理。
2.2、电路分析
根据运放的“虚短”可以知道:

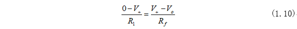
根据运放的“虚断”可以知道,没有电流流过运放,所以得:

其中已知阈值电压为:

所以输入电压Vin可以根据式(1.9)和式(1.11)为:

当输入电压Vin开始高于阈值电压(但是还没有完全高于),输出电压为高电平VoH=5V;同理,当输入电压Vin开始低于阈值电压(但是还没有完全低于),输出电压为低电平VoL=0V,

其电压回差(迟滞宽度)为:

代入值,求得电压回差:

2.3、电路仿真分析
将图2-1电路在仿真软件中进行直流分析,仿真设置为图2-2所示:

图 2-2 直流分析
图2-2仿真结果表示,输出电压在输入电压为0.4V时开始跳变,与分析的电压回差误差程度较低,仿真结果比较正确!
03上行滞回比较器——带参考电压
3.1、电路结构图
如图3-1所示,“上行滞回比较器——带参考电压”的电路图:

图3-1 滞回比较器——带参考电压电路图
图3-1电路中比较器采用LM339,以5V作为U3A的输入电源,那么输出电压高电平Voh=5V,输出电压低电平为Vol=0V,由于339内部结构,需要使用电阻R2进行上拉处理。
3.2、电路分析
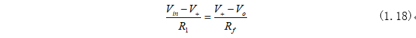
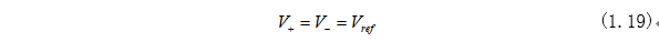
根据运放的“虚短”可以知道:

根据运放的“虚断”可以知道,没有电流流过运放,所以得:

其中已知阈值电压为:

所以输入电压Vin可以根据式(1.17)和式(1.19)为:

当输入电压Vin开始高于阈值电压(但是还没有完全高于),输出电压为低电平VoL=0V;同理,当输入电压Vin开始低于阈值电压(但是还没有完全低于),输出电压为高电平VoH=5V,

其电压回差(迟滞宽度)为:

代入值,求得电压回差:

3.3、电路仿真分析
将图2-1电路在仿真软件中进行直流分析,仿真设置为图3-2所示:

图 3-2 直流分析
图3-2仿真结果表示,输出电压在输入电压为3.2V时开始跳变,与分析的电压回差误差程度较高,仿真结果有待再分析!
04下行滞回比较器——带参考电压
4.1、电路结构图
如图4-1所示,“下行滞回比较器——带参考电压”的电路图:

图4-1 滞回比较器——带参考电压电路图
图4-1电路中比较器采用LM339,以5V作为U3A的输入电源,那么输出电压高电平Voh=5V,输出电压低电平为Vol=0V,由于339内部结构,需要使用电阻R2进行上拉处理。
4.2、电路分析
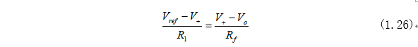
根据运放的“虚短”可以知道:

根据运放的“虚断”可以知道,没有电流流过运放,所以得:

其中已知阈值电压为:

所以输入电压Vin可以根据式(1.25)和式(1.27)为:

当输入电压Vin开始高于阈值电压(但是还没有完全高于),输出电压为高电平VoH=5V;同理,当输入电压Vin开始低于阈值电压(但是还没有完全低于),输出电压为低电平VoL=0V,

其电压回差(迟滞宽度)为:

代入值,求得电压回差:

4.3、电路仿真分析
将图4-1电路在仿真软件中进行直流分析,仿真设置为图4-2所示:

图 4-2 直流分析
图4-2仿真结果表示,输出电压在输入电压为0.1V时开始跳变,与分析的电压回差误差程度较高,仿真结果还有待分析!
龙腾半导体SGT MOSFET LSGT085R018在智慧农业无