时间:2022-06-27 15:11
人气:
作者:admin
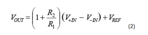
仪表放大器可以调理传感器生成的电信号,从而实现这些信号的数字化、存储或将其用于控制信号一般较小,因此,放大器可能需要配置为高增益。另外,信号可能会叠加大共模电压,也可能叠加较大直流失调电压。精密仪表放大器可以提供高增益,选择性地放大两个输入电压之间的差异,同时抑制两个输入中共有的信号。
惠斯登电桥是这种情况的经典例子,但像生物传感器一类的原电池具有类似的特性。电桥输出信号为差分信号,因此,仪表放大器是高精度测量的优选。理想情况下,无负载电桥输出为零,但仅当所有四个电阻均完全相同时,这种情况方为真。假如有一个以分立式电阻构建的电桥,如图 1 所示。最差情况差分失调 VOS为

其中,VEX为电桥激励电压,TOL为电阻容差(单位为百分比)。

图 1 惠斯登电桥失调
例如,在各元件的容差均为 0.1%且激励电压为 5 V 时,差分失调可以高达±5 mV。如果需要 400 的增益来实现所需电桥灵敏度,则放大器输出端的失调变成±2 V。假设放大器由同一电源驱动,并且其输出可以轨到轨摆动,则仅电桥失调就可能消耗掉 80%以上的输出摆幅。在行业要求电源电压越来越小的趋势下,这个问题只会变得更加糟糕。 传统的三运放仪表放大器架构(如图 2 所示)有一个差分增益级,其后为一个减法器,用于移除共模电压。增益施加于第一级,因此,失调放大的倍数与目标信号相同。因此,将其移除的方法是在参考(REF)端施加反电压。这种方法的主要不足在于,如果放大器的第一级已经饱和,则调节 REF 上的电压并不能更正失调。克服这点不足的几种方法包括:
根据具体情况,以外部电阻对电桥分流,但对于自动化生产来说,这是不现实的,而且在出厂后是无法调整的
减少第一级增益,通过微调 REF 上的电压来移除失调,并再添一个放大器电路以实现所需增益
减少第一级增益,以高分辨率 ADC 完成数字化输出,并在软件中移除失调
后两种选项还需要考虑最差情况下与原始失调值的偏差,从而进一步减少第一级的最大增益。这些解决方案并不理想,因为它们需要额外的电源、电路板空间或成本,来达到高 CMRR 和低噪声的目标。另外,交流耦合并不是测量直流或超慢移动信号的一种选择。

图 2 三运放仪表放大器拓扑结构
间接电流反馈(ICF)仪表放大器(如AD8237 和 AD8420可在放大之前移除失调。图 3 显示ICF拓扑结构原理图。

图 3 间接电流反馈仪表放大器拓扑结构
该仪表放大器的传递函数在形式上与经典三运放拓扑结构的传递函数相同,其计算公式为

由于输入之间的电压等于反馈(FB)与参考(REF)端子之间的电压时,放大器的反馈要求可得到满足,因此,我们可将该公式重写为

这意味着,引入一个等于反馈和参考端子之间失调的电压,即使在存在大输入失调的情况下,也可将输出调整为零伏特。如图 4 所示,该调整可以通过以下方法实现:从一个简单的电压源(如低成本 DAC)或者来自嵌入式微控制器的滤波 PWM 信号,通过电阻 RA 将一个小电流注入反馈节点。

图 4 带失调移除功能的高增益电桥电路
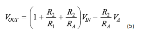
设计步骤 等式(3),R1与 R2之比将增益设为:

设计师必须确定电阻值。较大电阻值可降低功耗和输出负载;较小值可限制FB输入偏置电流和输入阻抗误差。如果 R1和 R2的并联组合大于约30 kΩ,则电阻开始引起噪声。表1显示了一些建议值。
表 1 各种增益的推荐电阻(1%电阻)

为了简化 RA值的查找过程,假设采用双电源运行模式,有一个接地 REF 端子和一个已知的双极性调整电压 VA。这种情况下的输出电压可通过以下公式计算:

注意,从VA至输出的增益为反相。VA的增加会使输出电压降低,比值为R2和 RA之比。此比值下,可以针对给定的输入失调,使调整范围达到最大。由于调整范围指向增益之前的放大器输入,因此,即使在低分辨率源的情况下,也可实施微调。由于 RA一般都比 R1大得多,因此,我们可以得到等式(5)的近似值:

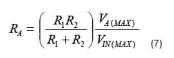
为了找到一个 RA值以允许最大失调调整范围 VIN(MAX),在给定调整电压范围 VA(MAX)的情况下,使VOUT= 0 ,求 RA,结果得到

其中,VIN(MAX)为传感器预期的最大失调。等式(5)同时显示,调整电路的插入会修改从输入到输出的增益。即使如此,其影响一般也很小,增益可以重新计算为:

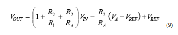
一般地,对于单电源电桥调理应用,参考端的电压应大于信号地。如果电桥输出可以在正负间摆动,情况尤其如此。如果基准电压源由一个低阻抗源(如分阻器和缓冲器)驱动至电压 VREF,如图 5 所示,则等式(5)变为:

如果相对于原始等式中的VREF取 VOUT和VA,则可得到相同的结果。VA(MAX)– VREF也应替换等式(7)中的 VA(MAX)。
设计示例 假设有一个单电源电桥放大器,如图 4 所示,其中,用 3.3 V 电压来激励电桥并驱动放大器。满量程电桥输出为±15 mV,失调可能处于±25m V 的范围。为了取得所需灵敏度,放大器增益需为 100,ADC 的输入范围为 0 V 至 3.3 V。由于电桥的输出可以为正,也可以为负,因此,其输出指向中间电源或 1.65 V。只需通过施加 100 的增益,失调本身即会强制使放大器输 出处于–0.85 V 至+4.15 V 的范围内,这超过了电源轨。
这个问题可通过图 5 所示的电路来解决。电桥放大器A1 是一个像AD8237 一样的ICF仪表放大器。放大器A2,带R4和R5,将 A1 的零电平输出设为中间电源。AD56018 位DAC对输出进行调整,通过RA使电桥失调为 0。然后,放大器的输出由AD7091微功耗 12 位ADC数字化。

图 5 针对单电源工作模式而修改的失调移除电路
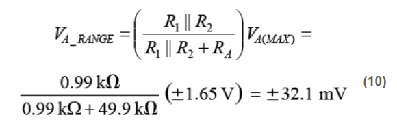
从表1可以发现,增益为101时, R1和R2 需为1 kΩ和100 kΩ。电路包括一个可以在 0 V 至 3.3 V 范围内摆动,或者在 1.65V 基准电压左右摆动±1.65 V。为了计算 RA 的值,我们使用等式 (6)。其中,VA(MAX)= 1.65 V 且 VIN(MAX)= 0.025 V, RA= 65.347 kΩ。当电阻容差为 1%时,最接近的值为 64.9 kΩ。然而,这没有为源精度和温度变化导致的误差留下任何裕量,因此,我们选择一个常见的 49.9 kΩ 低成本电阻,这样做的代价是调整分辨率降低了,结果导致略大的调整后失调。 从等式(7),我们可以算出额定增益值为 103。如果设计师希望得到接近目标值 100 的增益值,最简单的办法是使 R2的值降低 3%左右,至 97.6 kΩ,结果对 RA 的值的影响非常小。在新的条件下,额定增益为 100.6。 由于DAC可以摆动±1.65 V,因此,总失调调整范围可通过由RA以及R1和R2的并联组合形成的分压器给定,其计算方法如下:

在±25-mV 最大电桥失调范围内,±32.1-mV 的调整范围可提供 28%的额外调整裕量。对于 8 位 DAC,调整步长为

对于 250-µV 调整分辨率,输出端的最大残余失调为 12.5 mV。 对于采样率为 1 MSPS 的 AD7091,这些值为 51 Ω 和 4.7 nF。在以较低速率采样时,可以使用较大的电阻或电容组合,以进一步减少噪声和混叠效应。 该电路的另一个优势在于,可以在生产或安装时完成电桥失调调整。如果环境条件、传感器迟滞或长期漂移对失调值有影响,则可重新调整电路。
受其真轨到轨输入影响,AD8237 最适合采用超低电源电压的电桥应用。对于要求较高电源电压的传统工业应用,AD8420 不失为一款良好的替代器件。该 ICF 仪表放大器采用 2.7 V 至 36 V 电源供电,功耗低 60%。
表 2 是对两款仪表放大器进行了比较。都使用了最小和最大规格。有关更多详情和最新信息,请参见产品数据手册。

原文标题:惠斯登电桥传感器电路设计技巧,了解一下?
文章出处:【微信公众号:亚德诺半导体】欢迎添加关注!文章转载请注明出处。
审核编辑:汤梓红
龙腾半导体SGT MOSFET LSGT085R018在智慧农业无