时间:2022-01-19 14:44
人气:
作者:admin
01信号振铃怎么产生的?
信号的反射可能会引起振铃现象,一个典型的信号振铃如下图所示。

那么信号振铃是怎么产生的呢?
前面讲过,如果信号传输过程中感受到阻抗的变化,就会发生信号的反射。这个信号可能是驱动端发出的信号,也可能是远端反射回来的反射信号。根据反射系数的公式,当信号感受到阻抗变小,就会发生负反射,反射的负电压会使信号产生下冲。
信号在驱动端和远端负载之间多次反射,其结果就是信号振铃。大多数芯片的输出阻抗都很低,如果输出阻抗小于PCB走线的特性阻抗,那么在没有源端端接的情况下,必然产生信号振铃。
信号振铃的过程可以用反弹图来直观的解释。假设驱动端的输出阻抗是10欧姆,PCB走线的特性阻抗为50欧姆(可以通过改变PCB走线宽度,PCB走线和内层参考平面间介质厚度来调整),为了分析方便,假设远端开路,即远端阻抗无穷大。驱动端传输3.3V电压信号。我们跟着信号在这条传输线中跑一个,看看到底发生了什么?为分析方便,忽略传输线寄生电容和寄生电感的影响,只考虑阻性负载。(如下图为反射示意图)

第1次反射:信号从芯片内部发出,经过10欧姆输出阻抗和50欧姆PCB特性阻抗的分压,实际加到PCB走线上的信号为A点电压3.3*50/(10 50)=2.75V。传输到远端B点,由于B点开路,阻抗无穷大,反射系数为1,即信号全部反射,反射信号也是2.75V。此时B点测量电压是2.75 2.75=5.5V。
第2次反射:2.75V反射电压回到A点,阻抗由50欧姆变为10欧姆,发生负反射,A点反射电压为-1.83V,该电压到达B点,再次发生反射,反射电压-1.83V。此时B点测量电压为5.5-1.83-1.83=1.84V。
第3次反射:从B点反射回的-1.83V电压到达A点,再次发生负反射,反射电压为1.22V。该电压到达B点再次发生正反射,反射电压1.22V。此时B点测量电压为1.84 1.22 1.22=4.28V。
第4次反射:。。。。。。。。。
第5次反射:。。。。。。。。。
如此循环,反射电压在A点和B点之间来回反弹,而引起B点电压不稳定。观察B点电压:5.5V->1.84V->4.28V->……,可见B点电压会有上下波动,这就是信号振铃。
信号振铃根本原因是负反射引起的,其罪魁祸首仍然是阻抗变化,又是阻抗!在研究信号完整性问题时,一定时时注意阻抗问题。
负载端信号振铃会严重干扰信号的接受,产生逻辑错误,必须减小或消除,因此对于长的传输线必须进行阻抗匹配端接。
02信号反射
信号沿传输线向前传播时,每时每刻都会感受到一个瞬态阻抗,这个阻抗可能是传输线本身的,也可能是中途或末端其它元件的。对于信号来说,它不会区分到底是什么,信号所感受到的只有阻抗。如果信号感受到的阻抗是恒定的,那么它就会正常向前传播,只要感受到的阻抗发生变化,不论是什么引起的(可能是中途遇到的电阻,电容,电感,过孔,PCB转角和接插件),信号都会发生反射。
那么有多少被反射回传输线的起点?
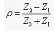
衡量信号反射量的重要指标是反射系数,表示反射电压和原传输信号电压的比值。反射系数定义为:

其中:Z1为变化前的阻抗,Z2为变化后的阻抗。假设PCB线条的特性阻抗为50欧姆,传输过程中遇到一个100欧姆的贴片电阻,暂时不考虑寄生电容电感的影响,把电阻看成理想的纯电阻,那么反射系数为:

信号有1/3被反射回源端。如果传输信号的电压是3.3V电压,反射电压就是1.1V。
纯电阻性负载的反射是研究反射现象的基础,阻性负载的变化无非是以下四种情况:阻抗增加有限值、减小有限值、开路(阻抗变为无穷大)、短路(阻抗突然变为0)。
2.1 阻抗增加有限值:
反射电压上面的例子已经计算过了。这时,信号反射点处就会有两个电压成分,一部分是从源端传来的3.3V电压,另一部分是反射电压1.1V,那么反射点处的电压为二者之和,即4.4V。
2.2 阻抗减小有限值:
仍按上面的例子,PCB线条的特性阻抗为50欧姆,如果遇到的电阻是30欧姆,则反射系数为ρ=(30-50)/(30 50)=-0.25,反射系数为负值,说明反射电压为负电压,值3.3V*(-0.25V)=-0.825V,此时反射点电压为3.3V (-0.825V)=2.475V。
2.3 开路:
开路相当于阻抗无穷大,反射系数按公式计算为1。即反射电压3.3V。反射点处电压为6.6V。可见,在这种极端情况下,反射点处电压翻倍了。
2.4 短路:
短路时阻抗为0,电压一定为0。按公式计算反射系数为-1,说明反射电压为-3.3V,因此反射点电压为0。
计算非常简单,重要的是必须知道,由于反射现象的存在,信号传播路径中阻抗发生变化的点,其电压不再是原来传输的电压。这种反射电压会改变信号的波形,从而可能会引起信号完整性问题。这种感性的认识对研究信号完整性及设计电路板非常重要,必须在头脑中建立起这个概念。
原文标题:【知识分享】信号振铃是什么?如何产生的?
文章出处:【微信公众号:凡亿PCB】欢迎添加关注!文章转载请注明出处。
审核编辑:汤梓红
龙腾半导体SGT MOSFET LSGT085R018在智慧农业无