时间:2020-12-09 14:13
人气:
作者:admin
实时时钟(RTC)从来都不是系统中引人注目的组件。确实,许多工程师不理解为什么需要RTC。他们可能会认为这是一种非常简单的组件,只能记录时间。另外,当今大多数微控制器都具有内置的RTC。
那么,为什么系统工程师会花更多的钱并愿意为RTC浪费更多的PCB空间?为什么独立的RTC不再过时?本文将重点介绍RTC在不同应用中的重要性,并概述关键的RTC规范和相关的设计挑战。
过去,在互联网普及之前,高精度RTC对于无数应用(例如个人计算机,电子表,便携式摄像机和车辆)至关重要。即使关闭主电源,RTC也会跟踪时间。如果没有RTC,则用户每次打开设备时都需要设置时间和日期。
当今的电子设备可以访问互联网或GPS。连接设备后,就可以轻松获取最准确的时间。对于那些拥有持续不断的互联网连接的设备来说,高精度的RTC确实是不必要的,但是这种好处是以高功耗为代价的。
为什么现在还需要RTC
在过去的十年中,随着各种自动化应用的兴起,如今数十亿设备已启用互联网。安全摄像机,照明灯,娱乐系统和设备等日常物品现在可以连接到互联网。这些设备是物联网(IoT)潮流的一部分。但是,虽然电池供电的物联网设备正在推动大量的物联网市场增长,但持续连接到电源的设备也是物联网的一大部分。
那么,RTC时代结束了吗?并不是的。越来越多的RTC实际上被用于许多自动化和物联网应用中。许多远程物联网传感器(如气象站)大多由电池供电,并按照预设的时间表进行测量或完成任务。这些设备无法持续启用无线收发器,因为这将很快耗尽电量。
确实,工程师在技术上花了很多心思来延长电池寿命。在大多数情况下,这些电池供电的设备(包括微控制器)都在深度睡眠模式下运行,以最大程度地减少无任务执行时的损耗。这些应用程序受益于极低的RTC,可以不时地唤醒系统以执行分配的任务。
尽管微控制器通常具有内置的RTC,但计时电流通常以mA为单位。而独立的RTC在运行时仅消耗nA的电流。比如某款RTC,在计时模式下仅消耗150 nA电流,并提供两个警报设置和两个可用于唤醒系统的中断引脚。
不要小看几mA和150 nA之间的差异。在设计IoT应用程序以延长电池寿命时,每mA的电流都很重要。除了物联网应用之外,许多医疗设备还需要纳米功率级RTC。例如可穿戴式ECG设备,助听器和医用标签。
大多数电池供电设备在设计上都非常小,便于携带或易于安装。由于独立的RTC在微控制器的外部,因此首选具有较小封装的RTC。更好的是,如果电路板空间有限,工程师可以选择带有集成谐振器的RTC。当前,业界最小的集成谐振器的RTC采用2.1×2.3 mm 8引脚WLP封装。
除了低功耗和小封装尺寸外,某些应用还要求在宽温度范围内具有较高的计时精度。例如,对于现场安装的传感器,这是一个重要的考虑因素,在该传感器中,一天中的温度可能波动很大。对于这些应用,更优选择是具有温度补偿功能的RTC,这将在本系列文章的第2部分中进行讨论。
带有外部晶振的RTC
具有成本效益的RTC通常需要外部谐振器,而RTC最常用的谐振器是32.768 kHz石英晶体。为什么是32.768 kHz?首先,32768是2的幂函数。当该信号连接到15级触发器时,输出是精确的1 Hz信号。RTC使用此1 Hz信号来驱动计时逻辑。但是,为什么用32.768 kHz而不是131.072 kHz或1.024 kHz?为了回答这个问题,我们需要了解频率和功耗之间的权衡。通常,电流消耗随着晶体频率的升高而增加。
而晶体的大小与频率成反比,这意味着较低的频率晶体在物理上更大,并且占用了更多的电路板空间。因此,选择32.768 kHz作为功率和尺寸之间的最佳折衷方案。此外,人的听觉范围是20 Hz至20 kHz。如果频率低于20 kHz,人们可以听到晶体振动。32.768 kHz是2的整数次方第一个超过可听范围的频率。
石英晶体在出厂时已校准,可以通过向音叉的尖端添加少量金以精确调节振动速度,从而在目标频率下振荡。在规定的电容器负载下,室温下所得的时钟精度通常在±20 ppm以内。 ppm单位是百万分率的缩写,是通常用于时钟精度测量的单位。
假设环境温度全年恒定为25°C,在这种情况下,±20 ppm的RTC,每年误差最大可为10.5分钟的精度为。计算如下:

计算出10.5分钟的公式
如果温度波动,累积误差可能会增加。如果购买者愿意支付额外的费用,则供应商可以通过筛选过程提供精度更高的晶体。但是,无论这些晶体在室温下有多精确,其频率仍然会受到以下三个因素的影响:
温度波动
带负载电容器的频率上拉
老化
温度波动
水晶晶振的频率是温度的函数,可以用一个二阶方程来近似:

晶振频率的方程
其中f0是标称频率(32.768 kHz)T0是标准温度(25°C)k是晶体的抛物线系数(典型值为0.04 ppm /摄氏度²)T是环境温度
如频率误差与温度的关系图所示,随着温度偏离室温(25°C),频率变慢。

该图显示了温度偏离室温后频率将变慢。资料来源:Maxim Integrated
为了保证最佳的精度性能,必须将环境温度调节在25℃左右。许多室内电池供电的设备可以将此RTC与外部晶振解决方案配合使用,从而节省了成本并降低了功耗。
负载电容拉动
晶体的频率会受到其负载电容器的影响。皮尔斯振荡器是RTC内部最常用的晶体振荡器电路。它通常由晶体,逆变器和负载电容器组成。

RTC内部装有一个振荡器电路。资料来源:Maxim Integrated
由晶体和负载电容器组成的等效电路如下图所示。

基于晶体和负载电容器的等效电路。资料来源:Maxim Integrated
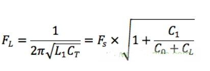
在所示的电路中,RCL串联电路与C0和CL并联谐振。振荡频率公式如下:

振荡频率方程
其中,R1,C1和L1是晶体参数,C0是晶体端子之间的电容,FL是具有总有效电容的振荡频率,CT是总有效电容,C1与(CL + C0)串联
CT是整体有效电容方程

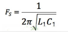
FS是晶体的串联谐振频率

由于C0 + CL远大于C1,因此FL公式可以近似为

FL相对于CL的导数表示相对于负载电容,以Hz为单位的频率变化。用串联频率除以计算每单位电容频率的变化率。该公式显示了各种负载电容值CL时的频率灵敏度:

仅当CL接近指定的负载电容值时,该公式才是一个很好的近似值。如果负载电容器偏离规定值太多,则振荡器可能无法正常工作,因为晶体和电容器无法产生180度相移回到输入端。
为了降低成本和占用电路板空间,许多RTC都内置有工厂调整过的负载电容器。它们应与晶体的指定负载电容非常匹配。如果布局设计合理,则室温下的频率误差应很小。从晶体到RTC焊盘的PCB走线会造成额外的杂散电容。在市场上的一种RTC中,根据评估套件的PCB布局,对负载电容器进行了修整,以提供最佳的时钟精度。换句话说,评估套件中的杂散电容已作为CL的一部分包括在内。
老化
老化是指晶体的谐振频率随时间的变化。老化是由于晶体封装内部的污染而导致的晶体质量随时间的变化而引起的。 通常,晶体的频率每年变化几ppm,大多数变化发生在前两年。
将晶体暴露在高温环境中可以加快老化速度。不幸的是,除了不时校准晶体外,工程师对老化几乎无能为力。某些RTC提供了老化补偿寄存器,供用户手动调整时钟频率。
带有校准寄存器的RTC
对于在温度稳定但平均温度不是25℃的环境中运行的应用,可以使用带有校准寄存器的RTC来校正。概念是从时钟计数器中增加或减少计数,以加快或减慢时钟速度。可以使用晶体供应商提供的晶体频率公式来计算校正时间所需的计数。
系统设计人员也可以将这种RTC与外部温度传感器结合使用。基于温度传感器的输出,微控制器可以定期调整计数值。但是,这种方法有许多缺点。
首先,额外的温度传感器会增加系统成本并占用更多的占板空间。其次,微控制器将需要定期调整校准寄存器,这将增加微控制器的开销。第三,晶体频率公式可能无法非常准确地反映晶体的实际温度响应,因为每个晶体可能与其他晶体稍有不同,并且晶体频率公式仅代表典型情况。对于高精度应用,此解决方案可能无法接受。
TCXO作为时钟源
温度补偿晶体振荡器(TCXO)在单个封装中结合了振荡晶体,温度传感器和数字逻辑。在整个工作温度范围内,其输出频率误差非常低。只需将TCXO的输出连接至晶振输入或RTC的时钟输入即可驱动计时逻辑。该解决方案不需要微控制器来校正时间,但是它仍然具有占板空间,高成本和更高功耗的问题。
带有集成TCXO的RTC
通过集成温度传感器,晶振,负载电容器和温度补偿电路,可以形成高精度的RTC。这种RTC的精度规格通常在工业级-40至85℃或汽车级-40至125℃的工作温度范围内约为5 ppm或更低。它节省了占板空间,电源和微控制器资源。
如前所述,除了温度以外,RTC还需要了解晶体的温度响应特性,以校正频率误差。可以从校准过程中获取此信息。尽管晶体供应商提供了一个公式来计算典型频率,但是每种晶体的特性可能略有不同。在室温下,典型的晶体可能具有高达20 ppm的误差。
每个RTC都应单独校准,以实现最高的精度性能。因此,在校准过程中,会在多个不同的温度点测量晶体的频率。显然,测量的校准点越多,测量数据与实际频率——温度特性曲线的匹配越好。
在校准期间,每次进行新测量之前,测试工程师都需要更改测试室的温度或将晶片移至具有预设温度的另一个测试室。晶圆温度达到平衡后即可进行测量。由于这些原因,制造商并不想进行大量测量,因为这将大大增加测试时间并因此增加设备成本。
设计工程师经常使用插值方法,以有限的测量数据点重建频率——温度曲线。以设计人员考虑二阶方程为例:

其中:f是频率,t是温度,a,b,c是系数
它足够接近晶体的频率——温度曲线,可以满足所需的精度指标,因此工程师只需在不同温度点测量三个数据点即可解决这三个系数。对于任何种类的插值,在给定的数据点处的误差都是最小的。当输入参数距离给定数据点更远时,计算将与实际曲线有更大的偏差。因此,应将测量温度隔开。在这种情况下,选择最低、最高温度是一个合理的选择。
现在,借助插值公式和温度传感器,RTC可以“确切地”知道实际振荡器频率与理想的32.768 kHz相差多少。但是RTC如何校正频率?如上所述,使用校准寄存器是一种可能的方法,但很少在带有集成晶体的RTC中实现。在上面提到的带有外部谐振器部分的RTC中,有几个因素会影响晶体的振荡频率。
其中之一是负载电容。通过操作负载电容器,温度补偿电路可以精确地增加或减少振荡频率。可变电容器的一个例子是一个简单的电容器阵列,加上一组电容器并联开关。
与RTC内部的所有其他组件相比,温度传感器消耗大量功率。传感器打开的次数越多,RTC的平均总电流将越高。多久测量一次温度并运行补偿算法取决于操作环境的需求。一些RTC为用户提供了设置适当温度测量间隔的选项。
这是带有集成TCXO和晶体的RTC的一个示例。DS3231SN具有一个精度指标,在-40℃至85℃的整个工作温度范围内最高支持3.5 ppm精度,而在0℃至40℃的范围内误差仅为2 ppm。下图传达了TCXO和典型晶体振荡器之间的精度差异。

该图显示了时间和频率与温度的关系。DS3231SN与典型晶体振荡器的比较,显示了通过将RTC与集成的TCXO一起使用所获得的精度增益。资源来源:Maxim Integrated
集成MEMS谐振器的RTC
集成了TCXO的RTC似乎是一个完美的解决方案。但是,它仍然存在一些缺点。集成了32.768 kHz晶体的RTC对于可穿戴设备或其他小尺寸应用而言体积太大。晶体供应商无法减小晶体的尺寸,因为频率决定了晶体的尺寸。为了进一步减小尺寸,可以使用不同类型的谐振器,即带有集成MEMS谐振器的RTC。
MEMS是一种非常小的机电设备,它会振动并产生高度稳定的参考频率。与传统水晶晶振相比,新一代MEMS对温度变化的敏感度要低得多,它的质量比晶体小数千倍。而且,由于MEMS谐振器的重量轻得多,因此它对振动和机械冲击具有更大的弹性。MEMS谐振器可安装在IC裸片上,因此整体封装尺寸几乎可以与裸片尺寸一样小。
MEMS谐振器通常比传统晶体谐振器消耗更多的功率,设计人员可以通过最大化MEMS谐振器的阻抗来降低功耗,从而降低电流消耗。等效阻抗为:

当CL接近0时,阻抗最高,在这种情况下,谐振器在其并联谐振频率附近工作。它将减少电流和功耗,但是,因为没有负载电容器,所以不需要调节温度补偿的振荡频率。
由于不能通过增加或减小负载电容的方法来改变振荡器的输出频率,因此设计工程师需要采用另一种方法来调节频率,然后再将其馈入RTC计时逻辑。一种解决方案是在振荡器输出和RTC计时时钟输入之间插入一个分数分频器。
分数分频器
从入门的数字设计类中,您可能会想起许多方法来实现可以除以任何正整数的时钟分频器。分数分频器可以将时钟除以任何分数。要了解分数除法器如何工作的高级概念,我们来看一个非常简单的示例。假设输入时钟为100 Hz,目标是从该100 Hz参考时钟获得1 Hz输出。我们可以将时钟简单地除以100。

一个简单的时钟分频器无法产生0.999 Hz至1.009 Hz之间的精确输出频率。资源:Maxim Integrated
如果参考输入时钟从100 Hz略微更改为99.9 Hz怎么办?我们如何从99.9 Hz产生1 Hz?我们知道,如果除数为100,输出将变为0.999 Hz;即比1 Hz稍慢。如果除数为99,则输出变为1.009 Hz,比1 Hz快一点。下图显示了100分频和99分频时钟输出信号的重叠,并且1 Hz时钟的理想上升沿位于灰色区域内的某个位置。
该图显示了99分频和100分频输出时钟操作。资料来源:Maxim Integrated
简单的时钟分频器不能产生0.999 Hz至1.009 Hz之间的精确输出频率。分数分频器具有一个控制电路来调制除数,因此其输出时钟频率可以在0.999 Hz和1.009 Hz之间切换。如果精心设计两个分频值之间的比率,则分频器理论上可以随时间产生0.999 Hz至1.009 Hz之间任何频率的平均值。尽管每个时钟周期都不是正确的1Hz,但平均输出时钟随时间变化可以非常精确。
令x为0.999 Hz时钟的出现次数,y为1.009 Hz时钟的出现次数。要计算x与y出现的正确比率,可以用以下方式建立方程:

其中:x是100分频时钟周期的出现次数,y是99分频时钟周期的出现次数,TDiv_100是一个100分频时钟周期的周期(本例中TDiv_100 = 100 / 99.9 Hz),TDiv_99是一个99分频时钟周期的周期(在此示例中,TDiv_99 = 99 / 99.9 Hz),TTarget是一个目标平均时钟周期的周期(在此示例中,TTarget = 1)

通过替换所有期间变量:x与y出现比例与变量的比率。使用该方程式,经过几次代数运算后,x:y的计算比率为9:1。这意味着当分数分频器的输入时钟为99.9 Hz时,对于每9个100分频时钟,插入1个99分频时钟。在总共10个时钟周期内,平均频率将恰好为1 Hz。此9:1模式将连续重复工作直到输入频率改变为止。如前所述,输入频率可以通过温度——频率转换函数或从校准中获得的查询表来确定。
Maxim Integrated的MAX31343是业界最小的集成谐振器的RTC。它具有一个内置的温度传感器和用于温度补偿的分数分频器,并且仅消耗970 nA的电流。它在小于5 ppm的工作温度范围内具有可靠的精度指标,使其适合各种应用,尤其是那些空间受限且需要高精度和鲁棒性,并且需要承受机械振动和冲击的严苛应用。
(来源:EEWORLD,编译自EDN,作者Maxim Intergrated 核心产品部应用产品高级技术人员Gordon Lee)
编辑:hfy
龙腾半导体SGT MOSFET LSGT085R018在智慧农业无