时间:2021-03-03 15:23
人气:
作者:admin
运算放大器(op amp)是一种模拟电路模块,它采用差分电压输入,产生单端电压输出。运算放大器通常有三个端子:两个高阻抗输入端子和一个低阻抗输出端子。反相输入用负号(-)表示,同相输入用正号(+)表示。运算放大器的作用是放大输入之间的电压差,这对于信号链、电源和控制应用等各种模拟功能非常有用。
运算放大器是什么?
运算放大器(op amp)是一种模拟电路模块,它采用差分电压输入,产生单端电压输出。
运算放大器通常有三个端子:两个高阻抗输入端子和一个低阻抗输出端子。反相输入用负号(-)表示,同相输入用正号(+)表示。运算放大器的作用是放大输入之间的电压差,这对于信号链、电源和控制应用等各种模拟功能非常有用。
运算放大器的分类
有四种方法可以对运算放大器进行分类:
● 吸收电压并在输出端产生电压的电压放大器。
● 接收电流输入并产生电流输出的电流放大器。
● 将电压输入转换为电流输出的跨导放大器。
● 将电流输入转换为电压输出的跨阻放大器。
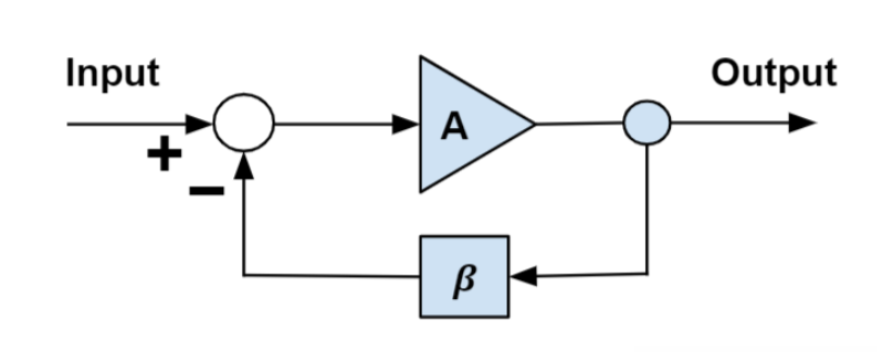
大多数运算放大器都用于电压放大,因此本文将重点介绍电压放大器。 运算放大器:关键特性和参数 运算放大器有很多重要特性和参数(见图1),下面将做详细描述。

图1:运算放大器原理图
开环增益
开环增益:运算放大器的开环增益中的(图1中的“A” ) 是电路无反馈时所测得的增益。开环意味着反馈路径即反馈环路开路。开环增益通常必须非常大(10,000+)才能发挥作用,但电压比较器除外。
电压比较器比较输入端子之间的电压。输入端子之间很小的电压差,都可引起输出正负电压轨的翻转。高开环增益在闭环配置中非常有用,因为它们可以在整个温度、工艺和信号变化范围内实现稳定的电路性能。
输入阻抗
运算放大器的另一个重要特性是它们通常具有高输入阻抗 (图1中的“ZIN”). 输入阻抗在正负输入端子之间测得,理想情况下,输入阻抗无穷大,使源负载尽可能小(实际上输入端会有很小的漏电流)。在运算放大器周围布放电路可能会明显改变电源的有效输入阻抗,因此必须谨慎配置外部组件和反馈环路。还有一点也很重要,输入阻抗不仅仅由输入直流电阻决定,输入电容也会影响电路性能,必须考虑到这一点。
输出阻抗
理想情况下,运算放大器的输出阻抗为零 (图一中的“ZOUT”)。但实际上输出阻抗通常具有较小的值,这决定了它的电流驱动和电压缓冲能力。
频率响应和带宽(BW)
理想的运算放大器具有无穷大的带宽(BW),并且无论信号频率如何变化,都能保持高增益。但实际上所有运算放大器都具有有限的带宽,通常称为“ -3dB”带宽,超过该带宽,放大器的增益以-20dB / decade的速率随频率增加而下降。具有较高带宽的运算放大器性能也更优,因为它们在较高的频率下仍可保持较高增益,但较高的增益也会导致更大功耗或更高的成本。
图2:运算放大器的开环频率响应曲线
增益带宽积(GBP)
顾名思义,GBP是放大器增益和带宽的乘积。GBP是整个曲线上的常数,可以通过公式(1)来计算:

GBP是在运算放大器的增益达到单位增益的频率点测得。用户可以用它来计算不同频率下设备的开环增益。GBP通常用于衡量一个运放是否有用并衡量其性能,因为具有较高GBP的运算放大器可在较高频率下提供更佳性能。
这些都是在设计中选择运算放大器时要考虑的主要参数,但根据应用和性能需求,还有许多其他参数也会影响设计选择,如输入失调电压、噪声、静态电流和电源电压等。
负反馈和闭环增益
在运算放大器中,负反馈是通过将一部分输出信号通过外部反馈电阻器馈送回反相输入端来实现的 (见图3)。

图3:反相运算放大器的负反馈
负反馈用于稳定增益。通过使用负反馈,闭环增益可以通过外部反馈组件来确定,它比通过运算放大器内部组件确定增益具有更高的精度。因为内部运算放大器组件可能由于工艺变化、温度变化、电压变化和其他因素而差异很大。闭环增益可通过公式(2)来计算:

运算放大器:优点和局限性
使用运算放大器有很多好处。它通常以IC的形式出现,很容易购买,有无数种可选的性能规格,可以满足所有应用需求。它用途广泛,是许多模拟应用(包括滤波器设计、电压缓冲器,比较器电路及许多其他应用)的关键组成部分。此外,大多数公司都提供仿真支持,例如PSPICE模型,可以供设计人员在构建实际设计之前验证其运算放大器的设计。
其局限性在于它们是模拟电路,它要求设计人员了解模拟基本原理,如负载、频率响应和稳定性等。设计一个看似简单的运放电路,最后却出现振荡,这种情况并不少见。设计人员必须了解前文讨论的这些关键参数,了解它们如何影响设计,这也通常意味着设计人员必须具备中上水平的模拟设计经验。
运算放大器配置拓扑
运算放大器有多种不同的电路拓扑,各具不同的功能。最常见的拓扑描述如下。
电压跟随器
最基本的运算放大器电路是电压跟随器(参见图4)。这种电路通常不需要外部组件,它提供高输入阻抗和低输出阻抗,因此是很有用的缓冲器。其输入和输出电压相等,输入变化会产生等效的输出电压变化。
图4: 电压跟随器
电子设备中最常用的运算放大器是电压放大器,它可以增加输出电压的幅度。反相配置和同相配置是两种最常见的放大器配置。这两种拓扑都为闭环,这意味着输出端有反馈返回到输入端子,因此电压增益由两个电阻的比率设定。
反相运算放大器
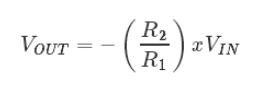
在反相运算放大器中,正输入端通常接地,负输入端子被强制等于正输入端。其输入电流由VIN/ R1之比决定 (见图5)。

图5: 反相运算放大器
在这种配置中,相同的电流通过R2流至输出。理想情况下,由于其高ZIN,电流不会流入运算放大器的负端子。通过R2流经负端子的电流产生相对于VIN的反相电压极性。 这就是为什么这种运算放大器被称为反相配置的原因。请注意,运算放大器的输出只能在其正电源和负电源之间摆动,因此要产生负输出电压,就需要一个具有负电源轨的运算放大器。 VOUT可用 公式(3)来计算:

同相运算放大器
在同相放大器电路中,来自电源的输入信号连接到同相(+)端子(请参见图6)。
图6: 同相运算放大器
运算放大器迫使反相(-)端子电压等于输入电压,从而产生流经反馈电阻的电流。输出电压始终与输入电压同相,这就是为什么将此拓扑称为同相的原因。请注意,对于同相放大器,电压增益始终大于1,而对于反相配置,则并非总是如此。 VOUT可用 公式(4)来计算::
电压比较器
运算放大器电压比较器可以比较电压输入,并将输出驱动到输入较高的电源轨上。由于没有反馈,这种配置被认为是开环操作。电压比较器的优势是运行速度比上述闭环拓扑快很多(见图7)。
图7: 电压比较器
如何选择适合应用的运算放大器
以下内容介绍如何选择运算放大器才能适合您的应用。
首先, 选择一个可以满足您需要的工作电压范围的运算放大器。通过查看放大器的电源电压可以获得此信息。电源电压可能为VDD(+)和地(单电源),也可能放大器同时支持正电源和负电源。如果输出需要支持负电压,则需要负电源。
其次,考虑放大器的GBP。如果您的应用需要支持较高频率,或需要较高性能和较低失真,则考虑使用具有较高GBP的运算放大器。
功耗是另一个需要考虑的因素,因为某些应用可能需要低功耗操作。通常在器件的数据手册中可以找到建议的功率要求,通常列为电源电流和功耗。功耗也可以根据电源电流和电源电压的乘积来估算。通常,具有较低电源电流的运算放大器具有较低的GBP,当然电路性能也较差。 对于要求较高精度的应用,设计人员应特别注意放大器的输入失调电压,因为该电压会导致放大器的输出电压失调。
总结
运算放大器在许多模拟和电源应用中都被广泛使用。其好处在于,它很常见、文档和技术支持都很成熟,而且非常容易使用和实现。它可用于多种应用,例如电压缓冲器、创建模拟滤波器和阈值检测器。深入了解运算放大器相关关键参数和通用拓扑,可以帮助您在电路中成功应用它。
编辑:hfy
龙腾半导体SGT MOSFET LSGT085R018在智慧农业无