时间:2020-12-01 13:55
人气:
作者:admin
遇到了一个问题可以请教您么?我们电磁运放使用的是opa2350,自己不愿意去抄板就自己设计了一个电路。通过Multisim仿真出来波形是正确的,整流后波形也是正确的;自己焊接出来测试的时候到我整流输出波形也没问题,整流后就是一个很平整的高电平。但是当我将这个输出接到单片机的ad采集口时,波形就变成了类三角波的形状!

信号二极管检波示意图
起初以为是程序出问题了,但是自己直接给单片机的ad采集口接一个高电平时波形和采集的值都是正确的,没有变化。所以现在就很困惑,自己的电路到底是哪儿出问题,已经在这一块折磨了四天了,希望卓大大您能帮我分析一下问题可能出在哪儿,谢谢大大。
上面的问题,实际上是电信号在电路系统之间传递过程中,由于信号源的内阻与负载阻抗的存在所产生的线性衰减和非线性失真现象。解决方法也很简单,后面会给出。但不如趁此机会,我们一起探讨一下这个问题背后更为多样的解决方案。
1. 信号检测与解调
使用一个工字型电感(通常采用10mH配合6.2nF的电容)感知赛道上交变磁场信息,信号的大小与电感在赛道上的方位有关系。简化一下,假设电感的方向始终保持水平且与赛道法线平行,输出感应电压p(x,y)就只与位置有关系。

电磁导航电感位置
经过信号放大之后所得到的电压信号V(t)由下图表示:

接收信号数学表达式
从这儿可以看出,信号实际上相当于被位置信息幅度调制后的调幅信号。因此,为了获得实际的p(x,y)信号,就需要对该调幅信号进行解调。当然,从p(x,y)怎么得到电感的位置,则是另外一个问题,以后再进行讨论。
信号的调制与解调最初是玩无线电的同学感兴趣的话题,对于普通学习自动化专业的同学这个问题比较生疏。但这种对于信号的处理方式的确在信号与系统中具有重要的地位。这里就针对这个话题展开一下。
对于普通的调幅信号进行解调的方式有两大类:一类是同步解调,另外一类是包络线解调,这两种方式在信号与系统,或者无线电通信课程中都有专门的介绍,在这儿就不再累述。
下面将从数学上进行推导,给出更多解调信号的方式。
2. 移相解调
如果能够得到V(t)移相90°的信号,那么求取这两个信号的对应实部与虚部的复数的模,便是解调后的信号。具体如下式所示:

移相解调原理
对于一般信号进行移相90°,可以采用希尔伯特变换。信号与其的希尔伯特变换组成的复数成为该信号的解析信号。求解析信号的模便等于信号的的包络线。这一内容属于高级信号处理方式,限于篇幅就省去5000字的描述。
对于实际电磁信号,可以通过单片机进行AD采样,完成上面移项解调。在相邻时间为T的两次采集,或者该信号本身以及它的延时信号的采样。只要T等于信号的载波周期的整数倍数再多出四分之一,或者四分之三周期,那么这两次采集信号从相位上便相差90°。求出它们的均方根便可以获得解调信号。
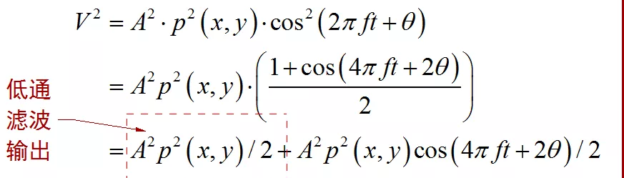
3. 非线性解调
如果求V(t)信号的平方项,则可以看出结果中存在着两个成分:

调幅信号的平方相包含低频信息
一个成分是没有调制信号的低频信号部分,另外一个是两倍频的调试信号。因此,通过低通滤波器可以获得前面的低频信号,然后再将该信号进行开放便可以得到解调信号。
实现信号的平方运算,可以使用硬件模拟乘法器,或者经过AD转换后由软件进行计算。除此之外,还可以将信号通过任意一个非线性环节,都可以获得信号的平方项。根据函数的Talor级数展开,可以看出,至少在级数的二次项中就包含了信号的平方项。

非线性传递函数的Talor级数展开
所以将通过非线性环节的信号再经过低通滤波,便可以获得待解调信号的低频部分,再经过去除常量、适当进行开方、倍乘等可以恢复出调制信号。
在电子线路中,常见到的电子元器件,二极管、三极管、运放等实际上都是非线性 元器件。如果这些元器件配合阻容器件组成信号放大电路,则需要通过设置正确的工作点以及负反馈,尽可能实现线性放大。但如果用于信号解调,则在电路设计上就需要 有意设计成非线性工作。因此,一个设计糟糕的放大电路在普通的模拟电子课程中只能得10分,但在信号解调中是一个非常优秀的电路可以的到100分。
4. 非线性解调电路
(1)二极管检波电路
利用二极管的单向导通特性,可以形成二极管包络线检波电路。后面的电阻和电容配合的二极管完成充电和放电,最后在电路的输出得到调幅波的包络线信号。

二极管检波电路
上述过程讲述的太天真的,符合幅值高的信号的建波过程。实际中二极管存在着导通电压,正向导通电阻,已经反向漏电流等特性,使得弱小高频信号在检波时损失较大,甚至无法完成检波。此外,这种检波方式还有输出阻抗较大,带负载能力小等弱点。

二极管转移特性与高频二极管
提高对于高频弱信号的检波的方法:
使用导通电压较小的锗二极管、肖特基二极管;
对于二极管进行适当的偏置;
使用倍压检波;
提高建波效率的两个方法:倍压检波和偏置检波
如果还希望增加检波效率,那就是使用三极管完成建波。

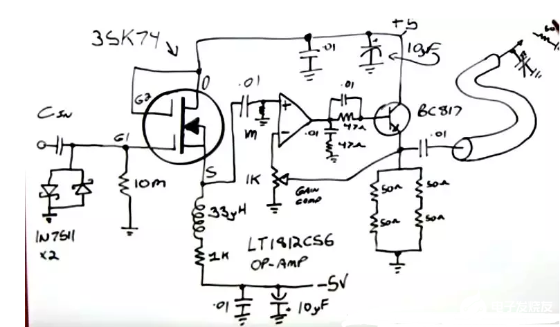
(2)三极管、MOS检波电路
利用三极管、MOS在小的偏置下的非线性,可以完成信号的检波。它相当于带有偏置的二极管检波+三极管放大电路,所以这种检波效率高,增益更大,输出阻抗变小。下图所示的为两级MOS,BJT晶体管高频检波电路。
晶体管检波电路

(3)运放检波电路
设置运算放大器的工作点处于临界截止状态,也可以完成对于调幅信号的检波。这种电路可以同时完成信号的放大与检波,输出的阻抗小。

运放检波电路
上面的电路摘抄自竞赛组委会发布的电磁车模设计指南中的电路。
针对不同的检波电路,电路的输出阻抗和滤波形式是不同的。本文开始的问题主要原因为:
信号在实际系统传递的时候,需要考虑到信号输出系统的内阻以及信号输入端口的输入阻抗;
信号整流输出信号源的内阻随着信号的幅度不同呈现出比较大的变化,特别是对于弱小信号,二极管检波输出阻抗很大;
检波电路的R,C的取值对于输出信号波形影响很大,往往取RC乘积对应的时间常数等于载波周期T的一个数量级以上的倍数。
检波电路的时间常数,还需要考虑到负载的 影响。如果负载电阻小,则同样会减小时间常数,进而造成输出波形呈现出很大的波动。
普通单片机的IO口大都是多种功能复用,因此AD输入端口就有可能具有原来IO口的上拉或者下拉偏置电阻。如果在MCU端口功能设置不当,就有可能使得AD输入端口的阻抗变小。
MCU复合端口内部电路示意图
因此,本文开始同学提出的二极管建波之后,一旦接入MCU的AD转换端口,出现波形不平滑。可能最主要的原因就是MCU的AD输入端打开了偏置电阻,使得输入电阻变小,进而影响到检波电路的滤波器时间常数。
硬件解决方法:
设置MCU的AD输入端口,使其处于高阻状态;
增加二极管检波电路的电容C,增加R值,使得滤波时间长度达到几个ms,等于20kHz载波周期的几十倍。
在整流电路与AD之间增加一级电压跟随器,隔离MCU的AD输入电阻对于检波电路的影响;
更换成集成电路非线性检波,提高检波电路的带载能力。

软件解决方法:
根据前面介绍的移项检波方式,还可以不进行硬件的信号检波,直接将放大后的调幅信号经过电平平移之后,送到AD转换口,使用软件完成信号包络线的计算。
实验1:提问同学的实验结果。
大大,您刚才所说的ad口设置不当会引起我所述说的问题,刚刚我去测试了加了一级电压跟随器完美的解决了我的问题。
那么除了加电压跟随器还有别的办法解决这个问题么?ad转换口设置不当是芯片内部设计的问题么?如果是ad转换设置不当,那为什么使用386不需要加电压跟随器也不会发生我所述说的情况呢?
关于后面的提问回答,可以参见原理说明中给出的方案。
实验2:信号的移项检波
这个实验来自于前面关于超声波信号导航(在公众号中输入信标导航?便可以查到这个推文)关于超声波包括线的解调。
超声波的频率为40kHz,采样频率为53.33kHz。采用的周期等于信号载波周期的3/4,因此相邻两个采样数据在载波相位上相差-90°(270°),因此计算相邻两个采样数据的均方根便可以得到信号的包络线。

移相检波数据
从上面图中可以看到,计算出的包络线完美的再现了信号的调制信号。
请注意,在这个实验中,采集数据需要首先减去AD转换时信号的平均直流信号量。
实验三:倍压检波电路
这是一个用于检测高频信号的检波电路,它本质上是一个倍压检波电路。
倍压检波电路原理图
为了能够适应高频信号,整个电路制作的非常小巧,所有的元器件都最终封装在一个金属屏蔽盒中。
倍压检波电路实际外观
整个电路在很大的频率范围内都可以基本保持检波性能。由于二极管的导通电压的 影响,所以在输入信号非常微弱的情况下(小于几十毫伏)输出检波电压偏小。但当输入信号的幅度大于100mV之后,检波器的输入输出呈现比较好的显性关系。
倍压检波电路的输入输出关系曲线
倍压检波电路用于解调高频调幅信号
本文核心内容讨论了信号解调的数学原理和基本方案,但开始同学遇到的问题则是基本的电路中信号传递的问题。选择不同的条件方式,影响了信号的传输特性。影响工程实现的因素是多方面的,需要在实验中抓住问题的本质。
信号的检波在某种程度上与信号整流是一致的。但在电源AC-DC整流变换中,则更多的是大电压、大电流的低频功率信号,此时为了提高系统的效率,大多采用桥式全波整流方式。但在信号检波中,由于信号为弱小的高频信号,因此采用半波、或者倍压整流提高检波输出的效率。结合后续的滤波电路等方式,可以进一步分离检波后输出信号中掺杂的直流、高频信号灯。
信号的调制与解调是基本的信号处理方法。在理解了其中的基本原理之后,可以分别通过不同的硬件电路或者软件算法完成信号的处理, 在不同的场合发挥各自的优点。
在实践中不仅大家需要总结所获得的经验,同时需要进一步思考其背后的原理,在将来学习和实践中可以走的更远。如果大家想了解智能车制作过程背后的更多原理的话,就请大家多多提出更好的问题。
编辑:hfy
上一篇:数字设计之时钟约束和时钟类型介绍
下一篇:通过傅里叶实现基波恒定信号源方案
龙腾半导体SGT MOSFET LSGT085R018在智慧农业无