时间:2020-12-08 15:47
人气:
作者:admin
运算放大器放大
运算放大器用途广泛,可以集成到各种有趣的创意电路中。但是,有时我们要做的只是增加信号的幅度,对于这些应用,我们拥有基本的运算放大器同相放大器配置。这种简单的拓扑结构包括一个运算放大器和两个电阻,其连接方式如下:

当我们说这个电路是“非反相”时,是指它对输入信号施加正增益。如果将稳定电压连接到输入端子,则输出电压将等于输入电压乘以某个数字,而极性不变。如果将正弦信号施加到输入端子,则运算放大器将增加信号的幅度而不会产生180°的相位差。
通过将输入信号连接至运算放大器的同相输入端子来实现同相操作。增益几乎完全由两个电阻确定,这两个电阻形成一个连接在运放输出和其负输入端子之间的反馈网络。
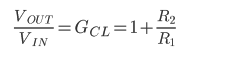
您可能会从视频中看到关于负反馈的信息,运算放大器的开环增益不是无限的,因此它确实会影响闭环增益(G CL),但实际上影响很小,可以达到微不足道。因此,我们可以安全地表示同相放大器的增益,如下所示:

输入阻抗
当我们试图将电压从一个子电路转移到另一个子电路时,产生信号的子电路应具有低输出阻抗,而接收信号的子电路应具有高输入阻抗。同相放大器的一个显着优点是它具有很高的输入阻抗,因为输入信号直接连接到运算放大器的输入端子。
了解同相放大器
在有关负反馈的视频中,我们了解到,负反馈放大器的闭环增益大约等于反馈因子的倒数:

如果将R 1和R 2视为电阻分压器反馈网络,则可以使用G CL和β之间的这种关系来得出同相放大器增益的表达式;在有关负反馈的教程中简要演示了此技术。我们将使用典型的电路分析来找到增益。

1、 输入电压V IN施加到同相输入端子,虚拟短假设使我们可以将该输入电压直接传递到同相输入端子。
2、 V IN在反相输入端产生V的电流IN / R 1朝向地面流动。
3、 我们假设没有电流流入或流出运算放大器的输入端子,因此,流经R 2的电流必须等流经R 1的电流:I R2 = V IN / R 1。该电流从运算放大器的输出端子流出。
4、R 2两端的电压降为I R2 ×R 2 =(V IN R 2)/ R 1。
5、由于R 2的低压端子连接到反相输入端子,因此输出电压等于V IN加上R 2两端的电压:V OUT = V IN +(V IN R 2)/ R 1 = V IN(1 + R 2 / R 1)。
编辑:hfy
上一篇:D类放大器如何采取有效的噪声对策
龙腾半导体SGT MOSFET LSGT085R018在智慧农业无