时间:2021-01-03 09:19
人气:
作者:admin
引起运放的直流偏移量改变与输入信号的关系
通过实验来确定引起运放直流偏移量的改变与输入信号的频率和幅值之间的关系。
分别在多组输入频率的情况下,逐步增加输入信号的幅值,观察运放的输出偏移量的改变。这组信号应该包括:
信号的频率应该在运放的通带范围内和范围外都应该有;
信号的幅值应该从微弱信号知道芯片输出饱和;
LM386实验电路
(1)LM386的实验电路如下图所示:
将LM386配置成增益为200的放大器的形式,输入的信号从PIN3通过电解电容10μ F \mu FμF耦合到电路中来。

LM386实验电路
通过小信号扫频获得LM386的幅频特性以及相应的输出输出偏移量的变化曲线。
扫频的范围从10 k H z 10kHz10kHz到2 M H z 2MHz2MHz的范围。通过确定输出增益下降到原来的1 2 {1 \over {\sqrt 2 }}21的时候,所对应的频率为LM386的高频的截止频率。2.5 ⋅ 1 2 = 1.768 ( V ) 2.5 \cdot {1 \over {\sqrt 2 }} = 1.768\,\,\,\left( V \right)2.5⋅21=1.768(V)
LM386的低通截止频率为:f l p s = 550 k H z f_{lps} = 550kHzflps=550kHz。
根据LM386实际幅频特性,后面选择实验的频率分别是:
通带内的频率: 1kHz, 50kHz
过渡带的频率:250kHz,550kHz(待选)
阻带内的频率:1000kHz,1500kHz(待选)。

通过扫频获得LM386的幅频特性和在不同频率下输出偏移量
freq=[10000.0, 30000.0, 50000.0, 70000.0, 90000.0, 110000.0, 130000.0, 150000.0, 170000.0, 190000.0, 210000.0, 230000.0, 250000.0, 270000.0, 290000.0, 310000.0, 330000.0, 350000.0, 370000.0, 390000.0, 410000.0, 430000.0, 450000.0, 470000.0, 490000.0, 510000.0, 530000.0, 550000.0, 570000.0, 590000.0, 610000.0, 630000.0, 650000.0, 670000.0, 690000.0, 710000.0, 730000.0, 750000.0, 770000.0, 790000.0, 810000.0, 830000.0, 850000.0, 870000.0, 890000.0, 910000.0, 930000.0, 950000.0, 970000.0, 990000.0, 1010000.0, 1030000.0, 1050000.0, 1070000.0, 1090000.0, 1110000.0, 1130000.0, 1150000.0, 1170000.0, 1190000.0, 1210000.0, 1230000.0, 1250000.0, 1270000.0, 1290000.0, 1310000.0, 1330000.0, 1350000.0, 1370000.0, 1390000.0, 1410000.0, 1430000.0, 1450000.0, 1470000.0, 1490000.0, 1510000.0, 1530000.0, 1550000.0, 1570000.0, 1590000.0, 1610000.0, 1630000.0, 1650000.0, 1670000.0, 1690000.0, 1710000.0, 1730000.0, 1750000.0, 1770000.0, 1790000.0, 1810000.0, 1830000.0, 1850000.0, 1870000.0, 1890000.0, 1910000.0, 1930000.0, 1950000.0, 1970000.0, 1990000.0] out=[0.82419807, 0.82419575, 0.82448503, 0.82504733, 0.82574511, 0.82626633, 0.82682779, 0.8270379, 0.82699768, 0.82675286, 0.82610908, 0.82507336, 0.82316792, 0.820216, 0.81550736, 0.80882822, 0.79968311, 0.78804587, 0.77358337, 0.75665184, 0.73727589, 0.71580805, 0.69303173, 0.66922485, 0.64523027, 0.62052001, 0.59537499, 0.57029527, 0.54555953, 0.52143766, 0.49803907, 0.47550978, 0.45461729, 0.43445583, 0.41523791, 0.39699324, 0.37979574, 0.36322954, 0.34768215, 0.33297385, 0.31894865, 0.30549933, 0.29280096, 0.28079123, 0.26908283, 0.25796921, 0.24704998, 0.2369045, 0.2268957, 0.21719996, 0.2024118, 0.19493669, 0.18775929, 0.18096819, 0.17442227, 0.16821082, 0.16223206, 0.15654862, 0.15111238, 0.145857, 0.14081119, 0.13596457, 0.13127437, 0.12679992, 0.1225131, 0.1183893, 0.11452258, 0.11076846, 0.10710039, 0.10352834, 0.10010201, 0.09680248, 0.09367316, 0.09066953, 0.08775142, 0.08488432, 0.08220052, 0.07953873, 0.07701299, 0.07455289, 0.07213578, 0.06982423, 0.06759745, 0.06544292, 0.0633826, 0.06128471, 0.05934194, 0.05741965, 0.05554103, 0.05366499, 0.051948, 0.05015762, 0.04846939, 0.04683666, 0.04525623, 0.04370325, 0.04228917, 0.04080258, 0.0393318, 0.03791282] offset=[2.3783, 2.3787, 2.3784, 2.3775, 2.3763, 2.3743, 2.3729, 2.3706, 2.3675, 2.3643, 2.3605, 2.3562, 2.3505, 2.3448, 2.3383, 2.3313, 2.3235, 2.3147, 2.3056, 2.301, 2.2875, 2.278, 2.2693, 2.2611, 2.2534, 2.2466, 2.2412, 2.2361, 2.2321, 2.2299, 2.2273, 2.226, 2.2243, 2.2237, 2.223, 2.2217, 2.2208, 2.2196, 2.2189, 2.2179, 2.2169, 2.2155, 2.2149, 2.2137, 2.2134, 2.212, 2.211, 2.2105, 2.2098, 2.2087, 2.2081, 2.2076, 2.2074, 2.2073, 2.2068, 2.206, 2.2057, 2.2058, 2.2061, 2.2059, 2.2062, 2.2057, 2.2062, 2.2062, 2.2064, 2.2067, 2.2075, 2.2071, 2.2075, 2.208, 2.2087, 2.2095, 2.2102, 2.2102, 2.2105, 2.2111, 2.2117, 2.213, 2.2133, 2.2141, 2.2145, 2.215, 2.2162, 2.2173, 2.218, 2.2184, 2.2193, 2.2198, 2.221, 2.2218, 2.2223, 2.2231, 2.2235, 2.2243, 2.225, 2.226, 2.2273, 2.2276, 2.2284, 2.2288]
频率不仅影响输出信号的幅值增益,同时还会引起输出信号的相位移动。下面显示了输入输出波形之间关系随着频率不同而变化。

在不同频率下LM386的输入,输出波形与输入波形之间的关系
将输出信号的幅度以及它与输入信号之间的相位差绘制出来,可以清楚看到频率引起的变化。随着信号频率的增加,输出信号的幅值下降,相位在逐步落后。

不同频率下输出的幅值以及相位差
freq=[10000.0, 20000.0, 30000.0, 40000.0, 50000.0, 60000.0, 70000.0, 80000.0, 90000.0, 100000.0, 110000.0, 120000.0, 130000.0, 140000.0, 150000.0, 160000.0, 170000.0, 180000.0, 190000.0, 200000.0, 210000.0, 220000.0, 230000.0, 240000.0, 250000.0, 260000.0, 270000.0, 280000.0, 290000.0, 300000.0, 310000.0, 320000.0, 330000.0, 340000.0, 350000.0, 360000.0, 370000.0, 380000.0, 390000.0, 400000.0, 410000.0, 420000.0, 430000.0, 440000.0, 450000.0, 460000.0, 470000.0, 480000.0, 490000.0, 500000.0, 510000.0, 520000.0, 530000.0, 540000.0, 550000.0, 560000.0, 570000.0, 580000.0, 590000.0, 600000.0, 610000.0, 620000.0, 630000.0, 640000.0, 650000.0, 660000.0, 670000.0, 680000.0, 690000.0, 700000.0, 710000.0, 720000.0, 730000.0, 740000.0, 750000.0, 760000.0, 770000.0, 780000.0, 790000.0, 800000.0, 810000.0, 820000.0, 830000.0, 840000.0, 850000.0, 860000.0, 870000.0, 880000.0, 890000.0, 900000.0, 910000.0, 920000.0, 930000.0, 940000.0, 950000.0, 960000.0, 970000.0, 980000.0, 990000.0, 1000000.0] outvolt=[0.22584419, 0.82475382, 0.82486491, 0.82523538, 0.82556415, 0.82598038, 0.82635926, 0.82664603, 0.82709187, 0.82725044, 0.8274002, 0.82752185, 0.82755609, 0.82754128, 0.8273805, 0.82705601, 0.82679054, 0.82631237, 0.82575681, 0.82499121, 0.8241603, 0.82311307, 0.82192799, 0.8203958, 0.81843567, 0.81619028, 0.81359412, 0.81027061, 0.80663774, 0.80244775, 0.79739215, 0.79188584, 0.78589378, 0.77890109, 0.77147399, 0.76367175, 0.75482663, 0.74546456, 0.73598014, 0.72555983, 0.71474164, 0.70392732, 0.69272114, 0.68118994, 0.66926258, 0.65779157, 0.64593862, 0.63362496, 0.62180828, 0.60973549, 0.59722022, 0.58531135, 0.57315515, 0.56066275, 0.54877721, 0.53699573, 0.52484147, 0.51334798, 0.50210017, 0.49056536, 0.47965149, 0.46915135, 0.4583527, 0.44815746, 0.43842109, 0.42853331, 0.41900969, 0.4100618, 0.4009368, 0.39210764, 0.38375883, 0.37539425, 0.36719945, 0.35953891, 0.35184403, 0.34426998, 0.3370194, 0.33013548, 0.32316792, 0.31627866, 0.30983772, 0.30341555, 0.29700973, 0.29096918, 0.28499429, 0.27888098, 0.27323933, 0.26767117, 0.26200829, 0.2566566, 0.25141011, 0.24606334, 0.24095441, 0.23595038, 0.2309958, 0.22622394, 0.22144326, 0.21670333, 0.21197697, 0.20202067] phase=[179.82946997, 1.09603919, 0.68930981, 5.27593761, 4.12036816, 3.56009719, 6.40419183, 7.5434949, 6.40437905, 8.39968736, 10.20685143, 9.61390633, 10.82856044, 12.47731411, 12.59220997, 13.26014638, 14.79825354, 16.12341858, 15.90459251, 17.4432251, 19.06761531, 18.99864028, 20.25875525, 21.87945888, 22.81337208, 23.3141769, 24.71068034, 26.23323794, 26.43006813, 27.99971201, 29.75344275, 30.10264579, 31.44746451, 33.20994009, 34.12499087, 34.95314661, 36.72269015, 38.33751176, 38.50817909, 40.09325434, 41.99333018, 42.20719123, 43.49944685, 45.22833651, 46.11273195, 46.61568395, 48.38039219, 49.75033543, 49.68972218, 51.23303445, 52.97677633, 53.01208647, 53.82124282, 55.76535114, 56.20661592, 56.28813701, 58.00995422, 59.04333935, 58.65643208, 59.86345398, 61.46744465, 61.02840278, 61.42889034, 63.3536829, 63.48020003, 63.17410982, 64.86901861, 65.70346797, 65.00780189, 66.07808719, 67.59411927, 66.99224626, 67.28277504, 69.07499995, 68.55944111, 68.49806151, 70.22614987, 71.02158712, 70.17624709, 71.19239234, 72.67642109, 71.9959195, 72.06874915, 73.97965967, 73.96580706, 73.18565207, 74.83069203, 75.63068931, 74.64374477, 75.62700222, 77.17809035, 76.36421717, 76.34842244, 78.31925088, 78.18787947, 77.33147592, 79.02489438, 79.90999251, 78.60636285, 79.29526603]
上图中的相位差时通过示波器采集到输入输出的波形数据,在已知信号频率的情况下通过如下公式计算出来的:
φ ( f ) = tan − 1 [ ∑ n = 0 N − 1 d [ n ] ⋅ sin ( t [ n ] ⋅ 2 π f ) ∑ n = 0 N − 1 d [ n ] ⋅ cos ( t [ n ] ⋅ 2 π f ) ] \varphi \left( f \right) = \tan ^{ - 1} \left[ {{{\sum\limits_{n = 0}^{N - 1}
{d\left[ n \right] \cdot \sin \left( {t\left[ n \right] \cdot 2\pi f} \right)} } \over {\sum\limits_{n = 0}^{N - 1} {d\left[ n \right] \cdot \cos \left( {t\left[ n \right] \cdot 2\pi f} \right)} }}} \right]φ(f)=tan−1⎣⎢⎢⎡n=0∑N−1d[n]⋅cos(t[n]⋅2πf)n=0∑N−1d[n]⋅sin(t[n]⋅2πf)⎦⎥⎥⎤
具体程序代码如下:
def dataphase(t, x, freq): phase = array([i * freq * 2 * pi for i in t]) sint = sin(phase) cost = cos(phase) sind = inner(sint, x) cosd = inner(cost, x) return arctan2(sind, cosd)
(2) 在频率为1kHz下幅度扫描
设置输入信号为1kHz的正弦波,输入LM386。信号的有效值幅度从0.01逐步升高到1.00V,对应的LM386的输出以及输出直流偏移量变化如下:

输入信号幅值增大与输出信号幅值、输出直流偏移量之间的关系
input=[0.01, 0.11, 0.21, 0.31, 0.41, 0.51, 0.61, 0.71, 0.81, 0.91, 1.01, 1.11, 1.21, 1.31, 1.41, 1.51, 1.61, 1.71, 1.81, 1.91, 2.01, 2.11, 2.21, 2.31, 2.41, 2.51, 2.61, 2.71, 2.81, 2.91, 3.01, 3.11, 3.21, 3.31, 3.41, 3.51, 3.61, 3.71, 3.81, 3.91, 4.01, 4.11, 4.21, 4.31, 4.41, 4.51, 4.61, 4.71, 4.81, 4.91, 5.01, 5.11, 5.21, 5.31, 5.41, 5.51, 5.61, 5.71, 5.81, 5.91, 6.01, 6.11, 6.21, 6.31, 6.41, 6.51, 6.61, 6.71, 6.81, 6.91, 7.01, 7.11, 7.21, 7.31, 7.41, 7.51, 7.61, 7.71, 7.81, 7.91, 8.01, 8.11, 8.21, 8.31, 8.41, 8.51, 8.61, 8.71, 8.81, 8.91, 9.01, 9.11, 9.21, 9.31, 9.41, 9.51, 9.61, 9.71, 9.81, 9.91] output=[0.21743324, 0.43867122, 0.66143268, 0.88032101, 1.10233027, 1.31783826, 1.46355311, 1.53936121, 1.59073906, 1.62991703, 1.65966166, 1.68351624, 1.70279447, 1.71865257, 1.73212388, 1.74360244, 1.75335902, 1.7618203, 1.76909812, 1.77547945, 1.78097756, 1.78588397, 1.79018646, 1.7939895, 1.79735324, 1.80028366, 1.80280668, 1.80500485, 1.80693721, 1.80862307, 1.80953527, 1.810916, 1.81204892, 1.81307948, 1.81388071, 1.81451906, 1.81492697, 1.8151672, 1.81519397, 1.81503148, 1.81467625, 1.8141035, 1.81342145, 1.8125589, 1.81151875, 1.81035045, 1.80902285, 1.80757608, 1.80596307, 1.80430712, 1.80240104, 1.80049343, 1.79832037, 1.79608075, 1.79344226, 1.79054995, 1.78704705, 1.78290038, 1.7782836, 1.77322069, 1.76798436, 1.7624373, 1.75692911, 1.75089386, 1.74499825, 1.73898396, 1.73284225, 1.72640065, 1.72031012, 1.71367306, 1.70742451, 1.7008635, 1.69446545, 1.68823259, 1.68118757, 1.67407344, 1.66757296, 1.66123084, 1.65485191, 1.64863174, 1.64173467, 1.63551075, 1.62939736, 1.62331599, 1.61760612, 1.61079072, 1.6047284, 1.59882852, 1.59254286, 1.58541448, 1.57799256, 1.56894639, 1.55912215, 1.54892287, 1.53831486, 1.53056251, 1.72382392, 1.74837305, 1.76296203, 1.77334578] offset=[2.4332, 2.4332, 2.433, 2.4329, 2.4325, 2.4308, 2.4329, 2.4371, 2.4334, 2.4337, 2.4341, 2.4344, 2.4346, 2.435, 2.4356, 2.4363, 2.4371, 2.4379, 2.4388, 2.4398, 2.4409, 2.4422, 2.4433, 2.4446, 2.4461, 2.4481, 2.4505, 2.4536, 2.4577, 2.4632, 2.4696, 2.4783, 2.4885, 2.5007, 2.5138, 2.5286, 2.5431, 2.5593, 2.5749, 2.5908, 2.607, 2.6232, 2.6388, 2.6542, 2.6698, 2.6846, 2.6998, 2.7145, 2.7292, 2.7429, 2.757, 2.7702, 2.7839, 2.797, 2.8102, 2.8229, 2.836, 2.8495, 2.8629, 2.8768, 2.8901, 2.9038, 2.9169, 2.9307, 2.9437, 2.9567, 2.9696, 2.983, 2.9955, 3.0086, 3.0208, 3.0335, 3.0457, 3.0577, 3.0711, 3.0843, 3.0962, 3.1079, 3.1195, 3.1309, 3.1434, 3.1547, 3.1656, 3.1766, 3.187, 3.1993, 3.2102, 3.2208, 3.232, 3.2445, 3.2574, 3.2728, 3.2905, 3.3108, 3.3364, 3.3622, 3.1882, 3.1599, 3.1452, 3.135]

LM386输出波形的变化
(3) 在频率为50kHz下进行幅度扫描
在输入信号的频率为50KHz下,输出信号的有效值和直流偏移量随着输入信号的有效值从0.01V变化到1.0V的过程中对应的变化情况。

在50kHz下LM386的输出信号幅度和直流偏移量随着输入信号的幅值增加变化的情况
input=[0.01, 0.02, 0.03, 0.04, 0.05, 0.06, 0.07, 0.08, 0.09, 0.1, 0.11, 0.12, 0.13, 0.14, 0.15, 0.16, 0.17, 0.18, 0.19, 0.2, 0.21, 0.22, 0.23, 0.24, 0.25, 0.26, 0.27, 0.28, 0.29, 0.3, 0.31, 0.32, 0.33, 0.34, 0.35, 0.36, 0.37, 0.38, 0.39, 0.4, 0.41, 0.42, 0.43, 0.44, 0.45, 0.46, 0.47, 0.48, 0.49, 0.5, 0.51, 0.52, 0.53, 0.54, 0.55, 0.56, 0.57, 0.58, 0.59, 0.6, 0.61, 0.62, 0.63, 0.64, 0.65, 0.66, 0.67, 0.68, 0.69, 0.7, 0.71, 0.72, 0.73, 0.74, 0.75, 0.76, 0.77, 0.78, 0.79, 0.8, 0.81, 0.82, 0.83, 0.84, 0.85, 0.86, 0.87, 0.88, 0.89, 0.9, 0.91, 0.92, 0.93, 0.94, 0.95, 0.96, 0.97, 0.98, 0.99, 1.0] output=[0.21546304, 0.43443544, 0.65487894, 0.87157714, 1.09167747, 1.30666552, 1.49937331, 1.60794122, 1.66487502, 1.69812129, 1.71249666, 1.72351342, 1.73238449, 1.73950365, 1.74532794, 1.75011048, 1.75399456, 1.75717382, 1.75982471, 1.7620487, 1.76386182, 1.76538145, 1.76654243, 1.76747262, 1.76820382, 1.76884257, 1.7694019, 1.76991374, 1.77037848, 1.77083847, 1.77139286, 1.7720034, 1.77270269, 1.77354283, 1.77446492, 1.77546809, 1.77648393, 1.77758891, 1.77857736, 1.7794767, 1.78028155, 1.78095969, 1.78151261, 1.78195288, 1.78233327, 1.78258556, 1.78276121, 1.78279696, 1.78272762, 1.78257407, 1.78235151, 1.78201513, 1.78155986, 1.78097848, 1.78028154, 1.77954763, 1.77873435, 1.77779415, 1.77673771, 1.77556749, 1.77435292, 1.77300133, 1.77160098, 1.76997026, 1.76828686, 1.76642958, 1.76439332, 1.76199918, 1.75950496, 1.75656133, 1.75358439, 1.7501647, 1.74665279, 1.74304223, 1.7393008, 1.73492906, 1.73078122, 1.72669331, 1.72245764, 1.71818274, 1.71341674, 1.70890258, 1.70438813, 1.69972606, 1.69527206, 1.68974439, 1.68479238, 1.67985622, 1.67456521, 1.66874612, 1.66268801, 1.65535275, 1.64712723, 1.63853145, 1.62921205, 1.61640613, 1.60483713, 1.71724504, 1.82390417, 1.85828604] offset=[2.4337, 2.4333, 2.4327, 2.4318, 2.4303, 2.4259, 2.4104, 2.3744, 2.3602, 2.3423, 2.3199, 2.3018, 2.2873, 2.2753, 2.2649, 2.2559, 2.248, 2.2411, 2.235, 2.2296, 2.2248, 2.2205, 2.2169, 2.2136, 2.2108, 2.2085, 2.2068, 2.2059, 2.2061, 2.2078, 2.2121, 2.2173, 2.2242, 2.2335, 2.244, 2.256, 2.2684, 2.2824, 2.2964, 2.3107, 2.3255, 2.3404, 2.3549, 2.3693, 2.3839, 2.398, 2.4123, 2.4262, 2.4403, 2.4535, 2.4672, 2.4799, 2.4931, 2.5057, 2.5185, 2.5304, 2.5424, 2.5543, 2.566, 2.5777, 2.589, 2.6004, 2.6111, 2.6226, 2.6334, 2.6443, 2.6552, 2.6664, 2.6771, 2.6885, 2.6993, 2.7107, 2.7218, 2.7326, 2.7438, 2.7563, 2.7677, 2.7786, 2.7898, 2.8007, 2.8128, 2.824, 2.8351, 2.8464, 2.8569, 2.8698, 2.8814, 2.8926, 2.9045, 2.917, 2.9292, 2.9425, 2.9554, 2.9662, 2.975, 2.994, 3.082, 3.0082, 2.8377, 2.7622]

在50kHz下输出波形随着输入信号有效值幅值从0.01V增加到1V的变化情况
(4)在频率为250kHz下进行幅度扫描

在250kHz下,输入信号增大所引起的输出信号和输出偏移量之间的关系
input=[0.01, 0.02, 0.03, 0.04, 0.05, 0.06, 0.07, 0.08, 0.09, 0.1, 0.11, 0.12, 0.13, 0.14, 0.15, 0.16, 0.17, 0.18, 0.19, 0.2, 0.21, 0.22, 0.23, 0.24, 0.25, 0.26, 0.27, 0.28, 0.29, 0.3, 0.31, 0.32, 0.33, 0.34, 0.35, 0.36, 0.37, 0.38, 0.39, 0.4, 0.41, 0.42, 0.43, 0.44, 0.45, 0.46, 0.47, 0.48, 0.49, 0.5, 0.51, 0.52, 0.53, 0.54, 0.55, 0.56, 0.57, 0.58, 0.59, 0.6, 0.61, 0.62, 0.63, 0.64, 0.65, 0.66, 0.67, 0.68, 0.69, 0.7, 0.71, 0.72, 0.73, 0.74, 0.75, 0.76, 0.77, 0.78, 0.79, 0.8, 0.81, 0.82, 0.83, 0.84, 0.85, 0.86, 0.87, 0.88, 0.89, 0.9, 0.91, 0.92, 0.93, 0.94, 0.95, 0.96, 0.97, 0.98, 0.99, 1.0] output=[0.20950925, 0.20950447, 0.42708299, 0.65066353, 0.87526108, 1.10194436, 1.27890739, 1.34043248, 1.297098, 1.21388594, 1.12789191, 1.04249122, 0.96199046, 0.89804268, 0.84799796, 0.80394616, 0.76438793, 0.72899091, 0.69673525, 0.66798083, 0.64209976, 0.61900124, 0.59716318, 0.57633875, 0.5557533, 0.53484848, 0.51357777, 0.49216555, 0.4702963, 0.44878042, 0.42878822, 0.4164051, 0.40134494, 0.39027796, 0.3823213, 0.37770251, 0.37570189, 0.3760123, 0.37834398, 0.38225653, 0.38763577, 0.39434369, 0.40229859, 0.41086331, 0.4203505, 0.43085688, 0.44179804, 0.45378952, 0.46623285, 0.47964104, 0.49307807, 0.50798434, 0.52268142, 0.53882109, 0.55489083, 0.57156475, 0.58700416, 0.60159647, 0.61457122, 0.62572134, 0.63562225, 0.64388521, 0.65131691, 0.65768593, 0.66382062, 0.66926283, 0.67447712, 0.67944574, 0.68457507, 0.6893681, 0.69450333, 0.69934451, 0.70471815, 0.71030404, 0.71675756, 0.7223471, 0.73276002, 0.74367444, 0.75516166, 0.76814534, 0.78237151, 0.80022883, 0.81856687, 0.83822166, 0.85904874, 0.87904917, 0.90244918, 0.92230826, 0.94036957, 0.95661823, 0.96976279, 0.97730508, 0.97921435, 0.97420191, 0.96334267, 0.9513854, 0.95074557, 0.96336036, 0.98729123, 1.08739098] offset=[2.4321, 2.432, 2.4269, 2.4169, 2.3984, 2.3561, 2.2555, 2.0579, 1.855, 1.6628, 1.5144, 1.3904, 1.2884, 1.2155, 1.1628, 1.119, 1.0796, 1.0429, 1.0097, 0.9812, 0.957, 0.9364, 0.91764, 0.90066, 0.88452, 0.86871, 0.85317, 0.83799, 0.82298, 0.80869, 0.7959, 0.7891, 0.77952, 0.77344, 0.76953, 0.76781, 0.76788, 0.7694, 0.77239, 0.77639, 0.78148, 0.7876, 0.79468, 0.80232, 0.81082, 0.82025, 0.83022, 0.84126, 0.8529, 0.86566, 0.87863, 0.89329, 0.90822, 0.92506, 0.94236, 0.96105, 0.97899, 0.99667, 1.0147, 1.0281, 1.0416, 1.0535, 1.0645, 1.0741, 1.0837, 1.0923, 1.1006, 1.1085, 1.1166, 1.1239, 1.1319, 1.1393, 1.1472, 1.1553, 1.1644, 1.172, 1.1867, 1.2027, 1.2208, 1.2424, 1.2668, 1.2985, 1.3322, 1.3689, 1.409, 1.4486, 1.4967, 1.539, 1.5797, 1.6204, 1.659, 1.6902, 1.7162, 1.7337, 1.7448, 1.7593, 1.7892, 1.8389, 1.9081, 2.0757]

在250kHz频率下LM386输出波形变化情况
(5) 在1MHz频率下扫描输入信号的幅度

在1MHz下,LM386输出幅值和直流偏移量之间的关系
input=[0.01, 0.02, 0.03, 0.04, 0.05, 0.06, 0.07, 0.08, 0.09, 0.1, 0.11, 0.12, 0.13, 0.14, 0.15, 0.16, 0.17, 0.18, 0.19, 0.2, 0.21, 0.22, 0.23, 0.24, 0.25, 0.26, 0.27, 0.28, 0.29, 0.3, 0.31, 0.32, 0.33, 0.34, 0.35, 0.36, 0.37, 0.38, 0.39, 0.4, 0.41, 0.42, 0.43, 0.44, 0.45, 0.46, 0.47, 0.48, 0.49, 0.5, 0.51, 0.52, 0.53, 0.54, 0.55, 0.56, 0.57, 0.58, 0.59, 0.6, 0.61, 0.62, 0.63, 0.64, 0.65, 0.66, 0.67, 0.68, 0.69, 0.7, 0.71, 0.72, 0.73, 0.74, 0.75, 0.76, 0.77, 0.78, 0.79, 0.8, 0.81, 0.82, 0.83, 0.84, 0.85, 0.86, 0.87, 0.88, 0.89, 0.9, 0.91, 0.92, 0.93, 0.94, 0.95, 0.96, 0.97, 0.98, 0.99, 1.0] output=[0.07156826, 0.13567551, 0.18365756, 0.21333475, 0.2420693, 0.24945191, 0.24874718, 0.2425744, 0.23207595, 0.21591159, 0.18971254, 0.16324598, 0.1282581, 0.09301492, 0.06303308, 0.0394327, 0.00431736, 0.00515508, 0.00624612, 0.00762632, 0.00910243, 0.01036753, 0.01114557, 0.01148779, 0.01164051, 0.01181376, 0.0120646, 0.01238029, 0.01273321, 0.01310144, 0.01316929, 0.01354706, 0.01390327, 0.01425669, 0.0145837, 0.0149034, 0.01518459, 0.01547088, 0.01572488, 0.01596399, 0.01619309, 0.01640764, 0.0166039, 0.01679034, 0.01697434, 0.01713909, 0.01730456, 0.01745883, 0.01760816, 0.01774916, 0.0178907, 0.01801884, 0.01814765, 0.01826777, 0.01838658, 0.01849944, 0.01860974, 0.01871653, 0.01882061, 0.01892535, 0.01902316, 0.01912327, 0.01921615, 0.019321, 0.01942897, 0.01956314, 0.01974148, 0.01999459, 0.02031551, 0.02076343, 0.02129216, 0.02196842, 0.02274773, 0.0236555, 0.02576125, 0.02728374, 0.02875861, 0.03017276, 0.03149775, 0.03265568, 0.03375242, 0.03449485, 0.03484937, 0.03471974, 0.03410467, 0.03276292, 0.03119451, 0.03006267, 0.04090404, 0.06370496, 0.08320334, 0.1024965, 0.12083972, 0.13824793, 0.15539783, 0.17142587, 0.20312757, 0.23611274, 0.31430566, 0.35215526] offset=[2.4245, 2.3913, 2.332, 2.2463, 2.1326, 1.9988, 1.8477, 1.6904, 1.5225, 1.3404, 1.153, 0.9734, 0.83905, 0.74656, 0.67993, 0.62795, 0.5247, 0.52518, 0.52674, 0.52887, 0.53149, 0.53472, 0.53842, 0.54247, 0.5466, 0.5506, 0.55438, 0.55801, 0.56144, 0.56457, 0.56507, 0.56795, 0.57037, 0.57258, 0.57447, 0.5762, 0.57763, 0.579, 0.58014, 0.58116, 0.58207, 0.58287, 0.58355, 0.58414, 0.58466, 0.5851, 0.58549, 0.5858, 0.58606, 0.58626, 0.58642, 0.58652, 0.58658, 0.5866, 0.58656, 0.58651, 0.58641, 0.58628, 0.58611, 0.58591, 0.5857, 0.58544, 0.58517, 0.58485, 0.58449, 0.58406, 0.58352, 0.58283, 0.58203, 0.58099, 0.57986, 0.57846, 0.57692, 0.57517, 0.5724, 0.56834, 0.56573, 0.56328, 0.56097, 0.55892, 0.55694, 0.5556, 0.55501, 0.55552, 0.55735, 0.56191, 0.56915, 0.5825, 0.63038, 0.68611, 0.73472, 0.7878, 0.8436, 0.90454, 0.98085, 1.0664, 1.1562, 1.2692, 1.4202, 1.5766]

在1MHz频率下,LM386的输出信号随着输入信号有效值从0.01增加到1.00V的变化情况
对比数据
在不同的频率下,输出的信号在开始的时候都是随着输入信号的幅值增加而上升。但是随着频率超出了LM386的频率范围。输出的信号的幅值在高于一定值之后,反而下降。下降的 原因通过下面的输出直流分量的变化可以看出来。

在四种不同的频率下运放的输出是输入信号的幅度之间的关系
直流分量的变化如下图所示。对于高出LM386截止频率之外的信号,输出直流偏质量随着输入信号的幅值增加而下降。从而影响了输出信号的的动态范围,这也使得输出信号中的交流分量降低了。

对比在四种频率下,随着输入信号的幅值增加所引起的输出直流偏移量的变化
从上面的实验可以看出,频率的高低的确是影响LM386直流偏移量的主要原因。同时输入信号的幅值也会影响到输出直流偏移量。
当栓是信号的有效值低于0.1V的时候,LM386直流偏移量变化不大,这说明初级的整流效果还不明显。当输入信号的幅值增大,输入级的整流效果增加,就带动输出直流偏质量下降。
在不同的输入幅值下扫描频率
(1)输入有效值为0.1Vrms 下图对比了在输入相同的情况下,随着频率的增加输出直流量的变化。

输入0.1Vrms下不同频率对应的输出和直流偏置量的变化
freq=[10000.0, 20000.0, 30000.0, 40000.0, 50000.0, 60000.0, 70000.0, 80000.0, 90000.0, 100000.0, 110000.0, 120000.0, 130000.0, 140000.0, 150000.0, 160000.0, 170000.0, 180000.0, 190000.0, 200000.0, 210000.0, 220000.0, 230000.0, 240000.0, 250000.0, 260000.0, 270000.0, 280000.0, 290000.0, 300000.0, 310000.0, 320000.0, 330000.0, 340000.0, 350000.0, 360000.0, 370000.0, 380000.0, 390000.0, 400000.0, 410000.0, 420000.0, 430000.0, 440000.0, 450000.0, 460000.0, 470000.0, 480000.0, 490000.0, 500000.0, 510000.0, 520000.0, 530000.0, 540000.0, 550000.0, 560000.0, 570000.0, 580000.0, 590000.0, 600000.0, 610000.0, 620000.0, 630000.0, 640000.0, 650000.0, 660000.0, 670000.0, 680000.0, 690000.0, 700000.0, 710000.0, 720000.0, 730000.0, 740000.0, 750000.0, 760000.0, 770000.0, 780000.0, 790000.0, 800000.0, 810000.0, 820000.0, 830000.0, 840000.0, 850000.0, 860000.0, 870000.0, 880000.0, 890000.0, 900000.0, 910000.0, 920000.0, 930000.0, 940000.0, 950000.0, 960000.0, 970000.0, 980000.0, 990000.0, 1000000.0] output=[1.63774118, 1.65188929, 1.66769214, 1.68731398, 1.69982482, 1.68613348, 1.67119479, 1.65377866, 1.63394067, 1.61177054, 1.58723554, 1.56034584, 1.53114025, 1.50026052, 1.46846017, 1.43573369, 1.40215921, 1.36736288, 1.33204128, 1.29502672, 1.25561452, 1.21580463, 1.17990417, 1.14584946, 1.11294757, 1.07947244, 1.04635179, 1.01372758, 0.98037023, 0.94828833, 0.91653015, 0.88622918, 0.85697307, 0.82906326, 0.80247309, 0.77717658, 0.75319758, 0.73031026, 0.70830632, 0.68753934, 0.66725753, 0.64787079, 0.62940286, 0.61177984, 0.59518529, 0.57941417, 0.56457179, 0.55051816, 0.53726325, 0.52475421, 0.51358476, 0.50237275, 0.49180495, 0.48171001, 0.47212554, 0.46300625, 0.45435086, 0.44599126, 0.43800191, 0.43035625, 0.42293636, 0.41572455, 0.40911213, 0.40189193, 0.39537593, 0.38887851, 0.38247762, 0.37618233, 0.36993825, 0.36380499, 0.35773061, 0.3517115, 0.34572523, 0.3398616, 0.33401255, 0.3282196, 0.32253801, 0.31694727, 0.3113988, 0.305884, 0.30057845, 0.29528939, 0.29008502, 0.28495769, 0.27962628, 0.27464224, 0.26982082, 0.26506431, 0.26037876, 0.25576498, 0.25120274, 0.24676386, 0.24238726, 0.23802433, 0.23373516, 0.22954655, 0.22535622, 0.22126627, 0.21718112, 0.21313414] offset=[2.4225, 2.41, 2.3948, 2.375, 2.339, 2.2804, 2.2233, 2.1668, 2.11, 2.0536, 1.9983, 1.9444, 1.8927, 1.844, 1.7982, 1.7556, 1.7172, 1.6813, 1.6487, 1.6164, 1.5856, 1.5578, 1.5355, 1.5169, 1.5004, 1.4832, 1.4666, 1.4506, 1.4335, 1.4179, 1.402, 1.3871, 1.3727, 1.3587, 1.3451, 1.3316, 1.3179, 1.3042, 1.2905, 1.2776, 1.2644, 1.252, 1.2403, 1.2298, 1.2202, 1.2115, 1.2042, 1.1976, 1.1921, 1.1876, 1.1854, 1.1827, 1.1807, 1.1795, 1.1788, 1.1789, 1.1795, 1.1808, 1.1826, 1.1849, 1.1876, 1.1906, 1.195, 1.1977, 1.2017, 1.2058, 1.2103, 1.2146, 1.2192, 1.2238, 1.2286, 1.2333, 1.2381, 1.2428, 1.2477, 1.252, 1.2566, 1.2611, 1.2655, 1.2694, 1.2738, 1.2781, 1.2819, 1.2856, 1.2873, 1.291, 1.2943, 1.2977, 1.3009, 1.304, 1.3071, 1.3101, 1.3131, 1.3157, 1.3183, 1.3211, 1.3234, 1.3259, 1.3283, 1.3303]

输入0.1Vrms下,不同频率对应的LM386直立偏移量的变化
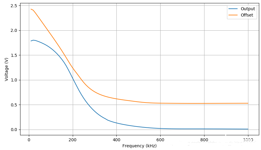
(2) 在0.2Vrms输入频谱对输出的影响
设置输入信号的有效值为0.2V,测试输入信号的频率对于输出信号的幅值、输出直流偏质量的影响。

输入信号的频谱对输出信号和直流偏质量的影响
freq=[10000.0, 20000.0, 30000.0, 40000.0, 50000.0, 60000.0, 70000.0, 80000.0, 90000.0, 100000.0, 110000.0, 120000.0, 130000.0, 140000.0, 150000.0, 160000.0, 170000.0, 180000.0, 190000.0, 200000.0, 210000.0, 220000.0, 230000.0, 240000.0, 250000.0, 260000.0, 270000.0, 280000.0, 290000.0, 300000.0, 310000.0, 320000.0, 330000.0, 340000.0, 350000.0, 360000.0, 370000.0, 380000.0, 390000.0, 400000.0, 410000.0, 420000.0, 430000.0, 440000.0, 450000.0, 460000.0, 470000.0, 480000.0, 490000.0, 500000.0, 510000.0, 520000.0, 530000.0, 540000.0, 550000.0, 560000.0, 570000.0, 580000.0, 590000.0, 600000.0, 610000.0, 620000.0, 630000.0, 640000.0, 650000.0, 660000.0, 670000.0, 680000.0, 690000.0, 700000.0, 710000.0, 720000.0, 730000.0, 740000.0, 750000.0, 760000.0, 770000.0, 780000.0, 790000.0, 800000.0, 810000.0, 820000.0, 830000.0, 840000.0, 850000.0, 860000.0, 870000.0, 880000.0, 890000.0, 900000.0, 910000.0, 920000.0, 930000.0, 940000.0, 950000.0, 960000.0, 970000.0, 980000.0, 990000.0, 1000000.0] output=[1.7845617, 1.7999155, 1.79415121, 1.77942651, 1.76241559, 1.74317445, 1.72183134, 1.69813514, 1.67069023, 1.63924553, 1.60391112, 1.56445123, 1.52058835, 1.47189951, 1.41777434, 1.35760286, 1.28809953, 1.20715597, 1.1221883, 1.03385994, 0.9476603, 0.86305411, 0.7793398, 0.70310306, 0.63333144, 0.5696079, 0.51173138, 0.45963179, 0.41176749, 0.36908179, 0.33021484, 0.29584842, 0.2653447, 0.23829002, 0.21442165, 0.18831572, 0.1713437, 0.15640214, 0.14311272, 0.1317833, 0.12100413, 0.11132412, 0.10242767, 0.09427914, 0.08662906, 0.07947889, 0.07284212, 0.06655995, 0.0607382, 0.05524779, 0.05057495, 0.04584276, 0.04143909, 0.03736629, 0.03368743, 0.03031276, 0.02731976, 0.02463444, 0.02228588, 0.02024985, 0.01849291, 0.01702989, 0.01586451, 0.01480536, 0.0139928, 0.0133235, 0.0127798, 0.01238622, 0.0121186, 0.0119763, 0.01189709, 0.01188893, 0.01189847, 0.01190918, 0.01190611, 0.011905, 0.01186686, 0.01181855, 0.01175189, 0.01165224, 0.01156012, 0.01144186, 0.0113128, 0.01116771, 0.01106314, 0.0109019, 0.01072923, 0.01055672, 0.01037206, 0.01018004, 0.00998909, 0.00979955, 0.00959861, 0.00939977, 0.0092038, 0.00899411, 0.00879955, 0.00859903, 0.00839867, 0.00819945] offset=[2.4257, 2.4047, 2.3499, 2.2889, 2.2274, 2.1658, 2.1039, 2.0414, 1.9792, 1.9172, 1.8545, 1.7909, 1.7262, 1.6603, 1.5929, 1.5232, 1.4519, 1.3802, 1.308, 1.2423, 1.1819, 1.1245, 1.0653, 1.0053, 0.95, 0.90085, 0.85808, 0.82113, 0.7885, 0.76056, 0.73612, 0.71513, 0.6969, 0.68099, 0.66707, 0.65476, 0.64387, 0.63413, 0.62529, 0.61763, 0.61014, 0.60323, 0.59673, 0.59058, 0.58474, 0.57897, 0.57328, 0.56752, 0.56185, 0.55631, 0.55166, 0.54703, 0.54312, 0.53983, 0.53714, 0.53503, 0.53338, 0.5321, 0.5311, 0.53032, 0.52968, 0.52914, 0.52869, 0.52821, 0.52781, 0.52743, 0.52707, 0.52674, 0.52644, 0.52618, 0.52597, 0.52581, 0.5257, 0.52563, 0.5256, 0.52561, 0.52565, 0.5257, 0.52578, 0.52588, 0.52598, 0.52609, 0.52621, 0.52634, 0.52651, 0.52665, 0.52679, 0.52694, 0.52709, 0.52724, 0.52739, 0.52753, 0.52768, 0.52783, 0.52798, 0.52811, 0.52826, 0.52839, 0.52853, 0.52866]

在输入0.2Vrms的情况下,信号的频率对输出和偏移量的影响
将前面两个实验的直流偏移量随着频率的增加而变化的情况绘制在一起。
可以看到当输入信号的幅值增大时,频率的增加会使得直流偏移量的变化更大。

对比在两种输入点好的电压下,输入频谱对于运放直流偏移量的影响
编辑:hfy
龙腾半导体SGT MOSFET LSGT085R018在智慧农业无