时间:2021-02-04 14:32
人气:
作者:admin
尽管印刷电路板(PCB)在高速电路中具有重要的属性,但它的布局往往是设计过程中的最后一步。高速印刷电路板(pcb电路板)布局有很多方面,本文从实用的角度讨论高速布局问题。我们将讨论在提高电路性能、减少设计时间等领域。
虽然重点是涉及高速运算放大器的电路,但这里讨论的主题和技术通常适用于大多数其他高速模拟电路的布局。当运算放大器在高频工作时,电路性能在很大程度上取决于电路板的布局。一个在纸上看起来不错的高性能电路设计,在被粗心或草率的布局所阻碍时,最后呈现出平庸的性能。提前思考并在整个布局过程中注意突出的细节将有助于确保电路按预期运行。
一、器件示意图
一个好的布局是从一个好的器件示意图开始的。在绘制器件示意图时要考虑周到和大方,并考虑通过电路的信号流。一个从左到右自然而稳定的流程的器件示意图在板上也会有一个很好的流程。在器件示意图上尽可能多地输入有用的信息。从事此项工作的设计师、技术人员和工程师将非常感激。
除了通常的参考标志、功耗和公差之外,器件示意图上还包含哪些信息?这里有一些建议,可以把一个普通的示意图变成一个超级示意图!添加波形、有关外壳或外壳的机械信息、轨迹长度、隔离区域;指定哪些组件需要位于电路板顶部;包括调谐信息、组件值范围、热信息、控制阻抗线、注释、简要电路操作说明。
二、怀疑一切
如果你不做自己的布局,一定要留出足够的时间和布局人一起完成设计。此时有备无患!别指望版面设计人员能读懂你的心思。在布局过程的开始,您的输入和指导是关键的。你能提供的信息越多,布局过程中参与的越多,最后电路板的性能就越好。制定一个布局进度表,在每个节点进行检查。这种“循环闭合”防止布局走得太远,并将最小化对板布局的返工。
你对设计者的指导应该包括:电路功能的简要描述;显示输入和输出位置的电路板草图;电路板堆叠(即电路板有多厚、有多少层、信号层和平面的详细信息、电源、接地、模拟、数字和射频);每个电路板上需要有哪些信号层;需要定位关键组件的位置;旁路组件的准确位置;哪些记录道是关键的;哪些线路需要控制阻抗线;哪些线路需要匹配长度;组件尺寸;哪些线路需要彼此远离(或靠近);哪些电路需要彼此远离(或接近);哪些组件需要彼此靠近(或远离);哪些组件位于电路板的顶部和底部。原则是能给出的信息越多越好。
三、定位
和房地产一样,位置决定一切。电路放置在电路板上的位置、单个电路元件的位置以及附近的其他电路都是关键。
通常情况下,输入、输出和电源位置都是有定义的,但它们之间的关系是需要慎重对待的,这就是关注布局细节将产生明显效能的地方。从关键元件的放置开始,包括单个电路和整个电路板。从一开始就指定关键组件位置和信号路径,确保设计按预期进行,降低成本和压力,缩短周期。
四、旁路电源
对于高速运算放大器和任何其他高速电路,绕过放大器的电源端子以最小化噪声是PCB设计过程的一个关键方面。有两种常用的绕过高速运算放大器的配置。
管脚接地:这种技术在大多数情况下最有效,它使用多个并联电容器,从运放的电源引脚直接接地。通常,两个并联电容器就足够了,但有些电路可能会从并联的附加电容器中受益。
并联不同的电容值有助于确保电源管脚在宽频带上看到低交流阻抗。这在运放电源抑制(PSR)逐渐消失的频率下尤为重要。电容有助于补偿放大器的PSR下降。在多个的频率内保持低阻抗接地路径将防止不需要的噪声进入运放。图1显示了多个并联电容器的优点。在较低的频率下,较大的电容器提供一个低阻抗的接地路径。一旦这些电容器达到自谐振,电容质量下降,电容器成为电感。这就是为什么使用多个电容器很重要的原因:当一个电容器的频率响应衰减时,另一个电容器的频率响应变得明显,从而在多个的频率内保持低交流阻抗。

(图1.电容器阻抗与频率。)
直接从运放的电源插脚开始;具有较低值和最小物理尺寸的电容器应与运放放放在电路板的同一侧,并尽可能靠近放大器。电容器的接地侧应以最小的引线或迹线长度连接到接地平面。该接地连接应尽可能靠近放大器的负载,以尽量减少引脚和接地之间的干扰。图2说明了这种技术。

(图2.并联电容引脚对地旁路。)
下一个高值电容应重复此过程。一个好的开始是0.01μF的最小值,和2.2μF或更大的电解低ESR为下一个电容器。0508外壳尺寸中的0.01μF具有低串联电感和优异的高频性能。
轨对轨:另一种配置是使用一个或多个旁路电容器连接在运放的正负电源轨之间。当电路中的四个电容都很难得到时,通常使用这种方法。这种方法的一个缺点是电容器外壳尺寸可能变大,因为通过电容器的电压是单电源旁路方法的两倍。更高的电压需要更高的击穿额定值,这转化为更大的外壳尺寸。然而,此选项可以改善PSR和失真性能。
因为每个电路和布局都不同;电容器的配置、数量和值由实际的电路要求决定。
五、寄生效应
寄生效应会对你的电路中造成严重破坏。它们是隐藏在高速电路中的杂散电容和电感。它们包括由封装引线和多余的布线长度形成的电感器;焊盘对地、焊盘对电源平面和焊盘对迹线电容器;与过孔的相互作用,以及更多的可能性。图3(a)是一个典型的非旋转运放的示意图。然而,如果要考虑寄生元件,同一电路将如图3(b)所示。

(图3.典型运算放大器电路,按设计(a)和寄生(b)。)
在高速电路中,影响很大,仅仅十分之几皮卡就足够了。举例说明:如果在逆变输入端只存在1pf的附加杂散寄生电容,则在频域内可能导致几乎2db的峰值(图4)。如果存在足够的电容,它会导致不稳定和振荡。

(图4.寄生电容引起的附加峰值。)
在寻找有问题的寄生来源时,一些计算这些寄生效应的基本公式可以派上用场。公式1是平行板电容器的公式(见图5)。

(公式1)
C为电容,A为板面积,单位为平方厘米,k为板材料的相对介电常数,d为板间距离,单位为厘米。

(图5.两个板之间的电容。)
条带状电感是另一个需要考虑的寄生因素,它是由线长过长和缺少接地平面引起的。公式2给出了跟踪电感的公式。见图6。

(公式2)
W是道宽,L是道长,H是道厚。所有尺寸单位均为毫米。

(图6.导线的电感。)
图7中的振荡显示了2.54厘米的线长对高速运放非垂直输入的影响。等效杂散电感为29nh(纳米能源),足以引起持续的低电平振荡,并在整个瞬态响应期间持续存在。图中还显示了如何使用地平面减轻杂散电感的影响。

(图7.有无接地层的脉冲响应)
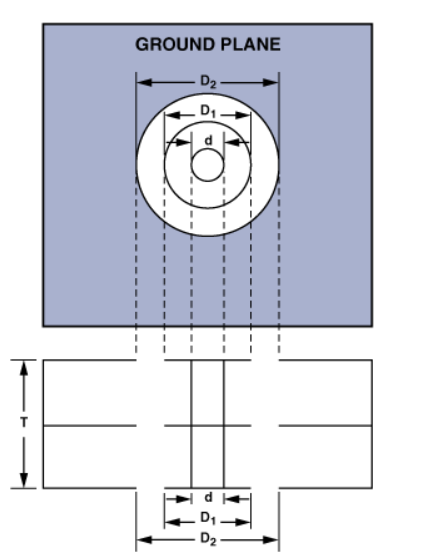
过孔是寄生的另一个来源;它们可以引入电感和电容。公式3是寄生电感的公式(见图8)。
(公式3)
T是板的厚度和d是通孔的直径,单位是厘米。

(图8.过孔尺寸。)
公式4显示了如何计算通孔的寄生电容(见图8)。
(公式4)
εr是板材的相对渗透率。T是板的厚度。D1是通孔周围衬垫的直径。D2是地平面上间隙孔的直径。所有尺寸均以厘米为单位。0.157厘米厚的电路板中的一个过孔可以增加1.2 nH的电感和0.5 pF的电容;这就是为什么在布置电路板时,必须小心再小心,以尽量减少寄生效应的渗透!
六、接地面
接地平面充当公共参考电压,提供屏蔽,实现散热,并减少杂散电感(但它也会增加寄生电容)。虽然使用接地平面有许多优点,但在实操时必须小心,因为它的效用有局限性。
理想情况下,一层印刷电路板应专用于作为接地面。一般是整个面是完整的。抵抗干扰,移除接地面上的其它线,以便在此专用层上没有其他信号。接地面通过导体和接地平面之间的磁场抵消来减小轨迹线电感。当地平面上的区域被移除时,意外的寄生电感会被引入地平面上或下的轨迹中。
由于接地平面通常具有较大的表面和横截面积,因此接地平面中的电阻保持在最小值。在低频时,电流的路径电阻最小,而在高频时,电流的路径电阻最小。
不过,也有例外,有时地平面越小越好。如果将接地板从输入和输出垫板下拆下,高速运算放大器的性能会更好。输入端接地板引入的杂散电容,加上运放的输入电容,会降低相位裕度,并可能导致不稳定。正如寄生讨论中所见,运算放大器输入端的1 pF电容可导致明显峰值。输出端的电容性负载(包括偏离)在反馈回路中产生一个极点。这会降低相位裕度,并可能导致电路变得不稳定。
模拟和数字电路,包括接地和接地平面,应尽可能分开。快速上升的边缘会在地平面中产生电流尖峰。这些快速的电流尖峰会产生噪声,破坏模拟性能。模拟和数字接地(和电源)应连接在一个公共接地点,以尽量减少循环数字和模拟接地电流和噪声。
在高频下,必须考虑一种叫做趋肤效应的现象。趋肤效应导致电流在导体的外表面流动,实际上使导体变窄,从而从其直流值增加电阻。虽然集肤效应超出了本文的范围,但铜的集肤深度(厘米)的一个很好的近似值是

(公式5)
不易受影响的电镀金属有助于减少皮肤效应。
七、封装
运算放大器通常以多种封装形式提供。选择的封装会影响放大器的高频性能。主要影响因素是寄生(前面提到过)和信号线迹。在这里,我们将着重于输入、输出和功率到放大器的路由。
图9说明了SOIC封装(a)中的运算放大器和SOT-23封装(b)中的运算放大器之间的布局差异。每种包装类型都有自己的特点。以(a)为重点,对反馈路径的仔细检查表明,有多种反馈路由选择。保持反馈长度短是最重要的。反馈中的寄生电感会导致振铃和过冲。在图9(a)和9(b)中,反馈路径围绕放大器布线。图9(c)显示了在SOIC封装下路由反馈路径的另一种方法,该方法最小化了反馈路径长度。每个选项都有细微的差别。第一种选择可能导致多余的轨迹长度,增加串联电感。第二种选择使用通孔,它可以引入寄生电容和电感。在布置板时,必须考虑这些寄生菌的影响和影响。SOT-23布局几乎是理想的:最小的反馈轨迹长度和过孔的使用;负载和旁路电容器以短路径返回到同一接地连接;正轨电容器(图9(b)中未显示)位于电路板底部负轨电容器的正下方。

(图9.运算放大器电路的布局差异。(a) SOIC封装,(b)SOT-23,(b)带射频板下的SOIC.)
低失真放大器引脚:一种新的低失真引脚,可在一些模拟设备运算放大器(例如AD8045)中使用,有助于消除上述两个问题;它还改善了其他两个重要领域的性能。如图10所示,LFCSP的低失真引脚,采用传统的运算放大器引脚,逆时针旋转一个引脚,并添加第二个输出引脚作为专用反馈引脚。

(图10.带低失真引脚的运算放大器。)
低失真引脚允许输出(专用反馈引脚)和反向输入之间的紧密连接,如图11所示。这大大简化和简化了布局。

(图11.AD8045低失真运算放大器的印刷电路板布局。)
另一个好处是减少了二次谐波失真。传统运放引脚结构中二次谐波失真的一个原因是非垂直输入和负电源引脚之间的耦合。LFCSP封装的低失真引脚消除了这种耦合,并大大降低了二次谐波失真;在某些情况下,降低可高达14分贝。图12显示了AD8099 SOIC和LFCSP封装在失真性能上的差异。
这种封装在功耗方面还有另一个优势。LFCSP提供了一个暴露的桨叶,它降低了封装的热阻,并且可以将热阻提高约40%。由于其较低的热阻,该封装运行温度较低,因此可靠性较高

(图12.AD8099失真比较相同的运算放大器在SOIC和LFCSP封装。)
目前,三个模拟设备高速运算放大器可与新的低失真引脚:AD8045,AD8099和AD8000。
八、布线和屏蔽
电路板上有各种各样的模拟和数字信号,电压和电流从直流到千兆赫不等。防止信号相互干扰是很困难的。
在电路规划时就要要注意哪些信号是敏感的,并确定必须采取哪些步骤来保持其完整性。地平面为电信号提供了一个共同的参考点,它们也可用于屏蔽。当需要信号隔离时,第一步应提供信号迹线之间的物理距离。以下是一些值得注意的良好做法:
1、尽量减少长时间的平行运行和信号轨迹在同一块板上的接近,将减少电感耦合。
2、最小化相邻层上的长轨迹将防止电容耦合。
需要高隔离度的信号通道应在单独的层上布线,如果它们不能完全保持距离,则应在地平面之间相互垂直。正交布线将使电容耦合最小化,接地将形成电屏蔽。这项技术被用于形成可控阻抗线。
高频(RF)信号通常在受控阻抗线上运行。也就是说,轨迹保持一个特性阻抗,例如50欧姆(在射频应用中是典型的)。两种常见的控制阻抗线,微带线和带状线都可以产生相似的结果,但实现方式不同。
微带控制阻抗线,如图13所示,可以在电路板的任一侧运行;它使用紧靠其下方的接地平面作为参考平面。

(图13.微带传输线。)
公式6可用于计算FR4板的特性阻抗。

(公式6)
H是从地平面到信号线的距离,W是线宽度,T是线厚度;所有尺寸单位为mils。εr是PCB材料的介电常数。
带状线控制阻抗线(见图14)使用两层地平面,信号线夹在它们之间。这种方法使用更多的通道,需要更多的板层,对介电厚度变化敏感,而且成本更高,因此通常只在要求苛刻的应用中使用。

(图14.带状线控制阻抗线。)
带状线的特性阻抗设计公式如公式7所示。

(公式7)
保护环,或称“保护”,是与运放一起使用的另一种常见的屏蔽类型;它用于防止杂散电流进入敏感节点。其原理很简单,就是用保护导体完全包围敏感节点,保护导体与敏感节点保持在或驱动到(低阻抗)相同的电位,从而从敏感节点吸收杂散电流。图15(a)显示了反向和非反向运算放大器配置的保护环示意图。图15(b)显示了SOT-23-5包的两个保护环的典型实现。

(图15.护环。(a)反转和非反转操作。(b) SOT-23-5封装。)
屏蔽和布线还有许多其他选项,这里就不一一赘述了。
结论
电路板布局是运放电路设计成功的关键,特别是对于高速电路。良好的电路原理图是良好布局的基础;电路设计者和布局设计者之间的紧密协调是必不可少的,尤其是关于零件和布线的位置。要考虑的主题包括电源旁路、最小化寄生、使用接地平面、运放封装的效果以及布线和屏蔽的方法。
编辑:hfy
龙腾半导体SGT MOSFET LSGT085R018在智慧农业无