时间:2019-01-08 14:35
人气:
作者:admin
这是个很简单但实际上非常基础的问题。回答这个问题我们需要考虑声强。声强定义为“声波单位时间内通过单位面积法向的平均声能”,声强对面积的积分,则为单位时间内声源发射的声能,定义为声功率,单位为瓦特。因此,声强的单位为W/m^22,也就是单位面积上功率的尺度。
功率在空气中的参考值为10^-1212W,被认为是正常人耳对1KHz纯音勉强能听到的强度。这似乎合理的选择,因为我们经常处理的声音是可听见的,并且很多都是恼人的。
进一步,如果我们考虑理想自由场中的平面波或球面波,那么是没有反射的,因而,声波直线传播,此时声强定义为

Ρ 是声波的峰值压强,ρ是空气密度,c是声波在空气中的传播速度。对于正弦波而言

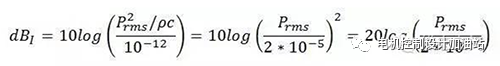
因此,有

如果转化为dB,则有

空气中ρc近似为400,因此,我们有10^-12=(2*10^-5)^2/400因此,上式可以写成

这就使用2×10^-55作为参考,关联了声压的RMS值与自由场中勉强可听见的1KHz的声强强度,或者转化为2×10^-5的声压。
正常测试中,不可能是在理想的自由场中,因此声压的dB值被称作为声压级SPL,也就是

如果声压的RMS值是整个频率范围内的,那么我们将有总的声压级,经常被称为Overall Level。
下一篇:聊聊一个小家电的复位芯片
龙腾半导体SGT MOSFET LSGT085R018在智慧农业无